Официальное опубликование правовых актов
ОФИЦИАЛЬНОЕ ОПУБЛИКОВАНИЕ
Приказ Министерства природных ресурсов и экологии Российской Федерации от 14.09.2023 № 599
"Об утверждении Положения о государственном природном заповеднике "Верхне-Тазовский"
(Зарегистрирован 17.10.2023 № 75602)
Номер опубликования: 0001202310180019
Дата опубликования: 18.10.2023
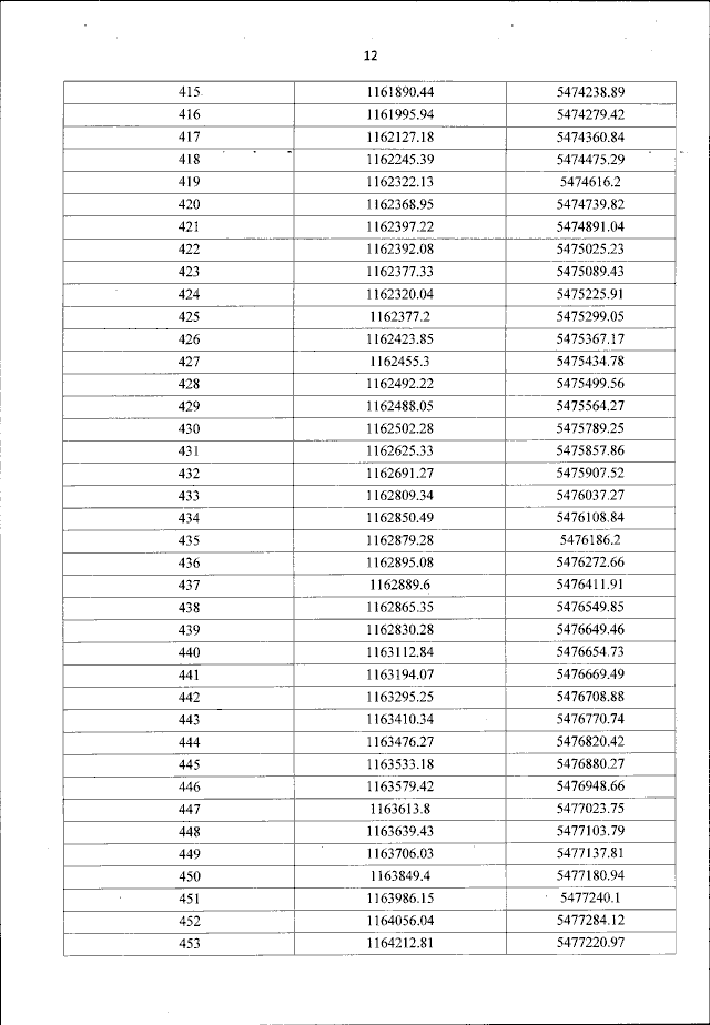
Страница №21 из 77:
Увеличить