Официальное опубликование правовых актов
ОФИЦИАЛЬНОЕ ОПУБЛИКОВАНИЕ
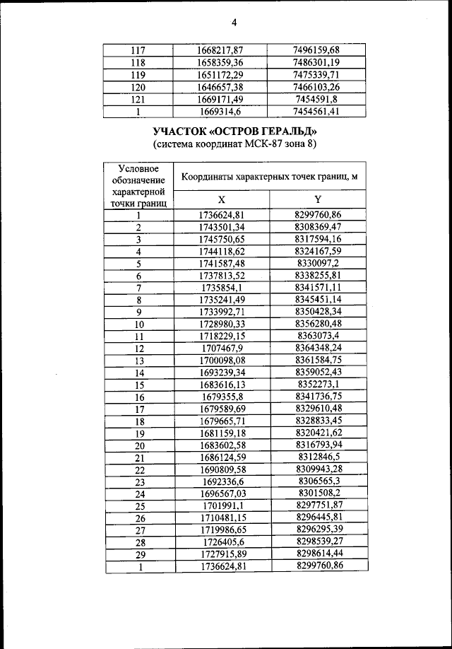
Приказ Министерства природных ресурсов и экологии Российской Федерации от 14.09.2023 № 598
"Об утверждении Положения о государственном природном заповеднике "Остров Врангеля"
(Зарегистрирован 17.10.2023 № 75603)
Номер опубликования: 0001202310180017
Дата опубликования: 18.10.2023
Страница №12 из 17:
Увеличить