Официальное опубликование правовых актов
ОФИЦИАЛЬНОЕ ОПУБЛИКОВАНИЕ
Приказ Министерства природных ресурсов и экологии Российской Федерации от 12.09.2023 № 596
"Об утверждении Положения о государственном природном заказнике федерального значения "Цейский"
(Зарегистрирован 17.10.2023 № 75604)
Номер опубликования: 0001202310180016
Дата опубликования: 18.10.2023
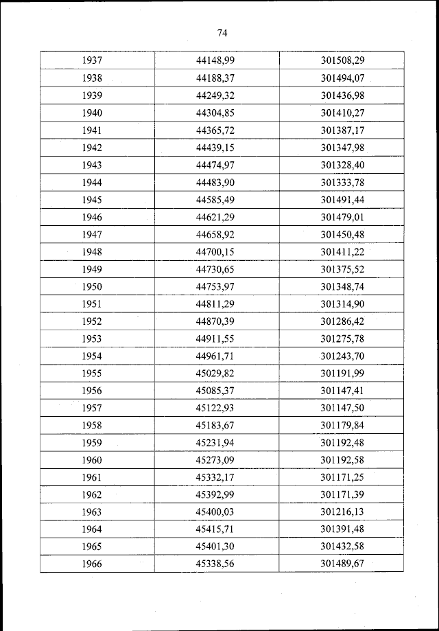
Страница №74 из 86:
Увеличить