Официальное опубликование правовых актов
ОФИЦИАЛЬНОЕ ОПУБЛИКОВАНИЕ
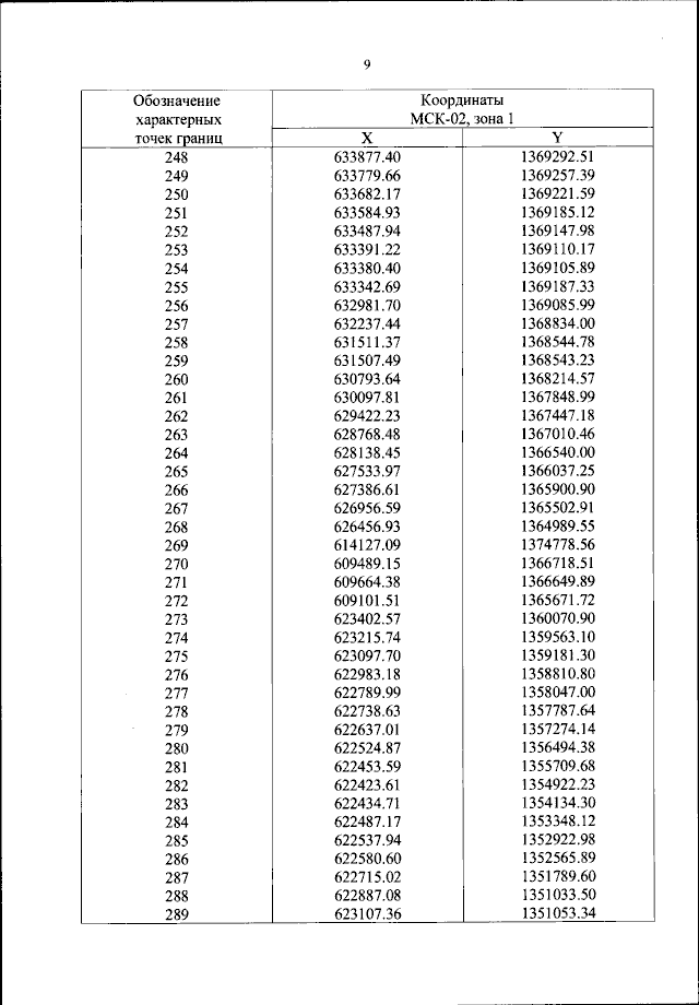
Приказ Федерального агентства воздушного транспорта от 04.09.2023 № 731-П
"Об установлении приаэродромной территории аэродрома гражданской авиации Уфа"
(Зарегистрирован 03.10.2023 № 75443)
Номер опубликования: 0001202310040010
Дата опубликования: 04.10.2023
Страница №10 из 298:
Увеличить