Официальное опубликование правовых актов
ОФИЦИАЛЬНОЕ ОПУБЛИКОВАНИЕ
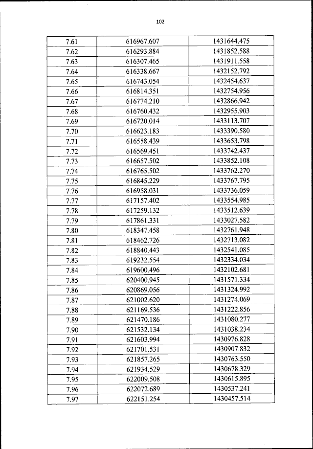
Приказ Федерального агентства воздушного транспорта от 24.08.2023 № 695-П
"Об установлении приаэродромной территории аэродрома гражданской авиации Мурманск"
(Зарегистрирован 22.09.2023 № 75310)
Номер опубликования: 0001202309250025
Дата опубликования: 25.09.2023
Страница №103 из 115:
Увеличить