Официальное опубликование правовых актов
ОФИЦИАЛЬНОЕ ОПУБЛИКОВАНИЕ
Приказ Федерального агентства воздушного транспорта от 24.08.2023 № 694-П
"Об установлении приаэродромной территории аэродрома гражданской авиации Бугульма"
(Зарегистрирован 22.09.2023 № 75309)
Номер опубликования: 0001202309250018
Дата опубликования: 25.09.2023
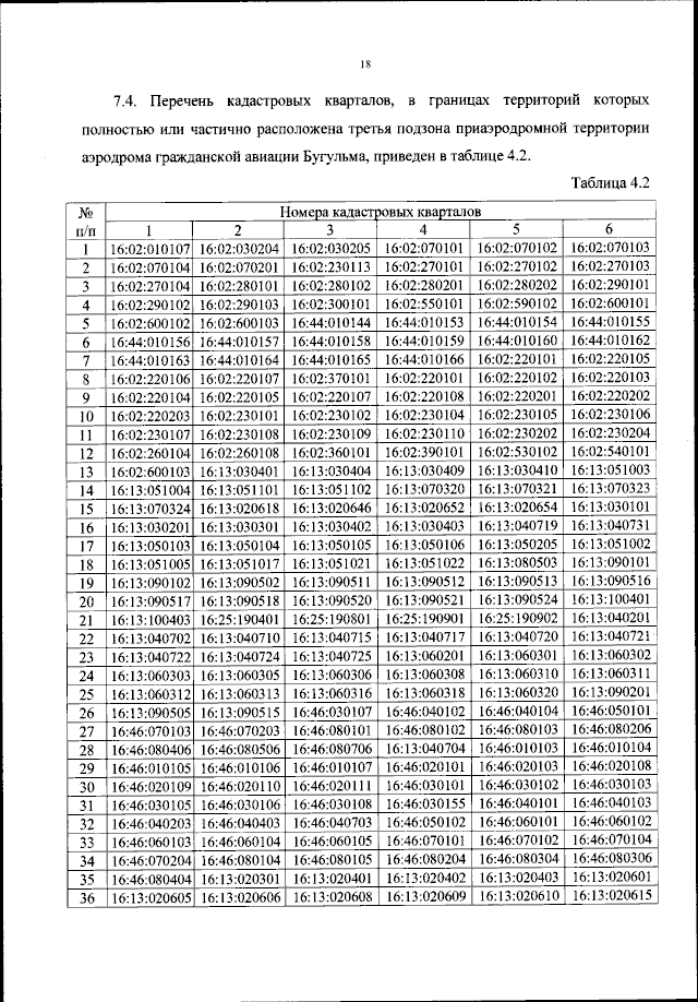
Страница №19 из 83:
Увеличить