Официальное опубликование правовых актов
ОФИЦИАЛЬНОЕ ОПУБЛИКОВАНИЕ
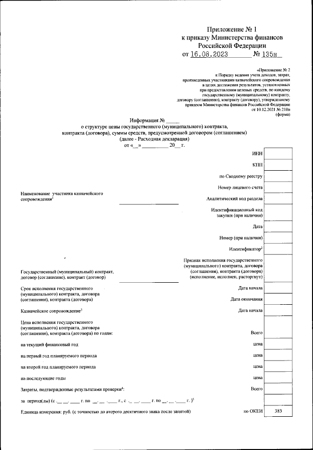
Приказ Министерства финансов Российской Федерации от 16.08.2023 № 135н
"О внесении изменений в приложения № 2 и № 3 к Порядку ведения учета доходов, затрат, произведенных участниками казначейского сопровождения в целях достижения результатов, установленных при предоставлении целевых средств, по каждому государственному (муниципальному) контракту, договору (соглашению), контракту (договору), утвержденному приказом Министерства финансов Российской Федерации от 10 декабря 2021 г. № 210н"
(Зарегистрирован 21.09.2023 № 75298)
Номер опубликования: 0001202309220003
Дата опубликования: 22.09.2023
Страница №3 из 8:
Увеличить