Официальное опубликование правовых актов
ОФИЦИАЛЬНОЕ ОПУБЛИКОВАНИЕ
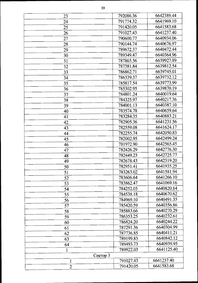
Приказ Федерального агентства воздушного транспорта от 17.08.2023 № 678-П
"Об установлении приаэродромной территории аэродрома гражданской авиации Беринговский"
(Зарегистрирован 14.09.2023 № 75218)
Номер опубликования: 0001202309140016
Дата опубликования: 14.09.2023
Страница №40 из 96:
Увеличить