Официальное опубликование правовых актов
ОФИЦИАЛЬНОЕ ОПУБЛИКОВАНИЕ
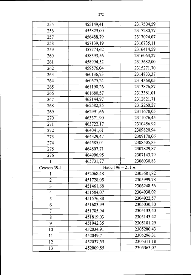
Приказ Федерального агентства воздушного транспорта от 14.08.2023 № 661-П
"Об установлении приаэродромной территории аэродрома гражданской авиации Нижнекамск (Бегишево)"
(Зарегистрирован 13.09.2023 № 75197)
Номер опубликования: 0001202309130010
Дата опубликования: 13.09.2023
Страница №273 из 316:
Увеличить