Официальное опубликование правовых актов
ОФИЦИАЛЬНОЕ ОПУБЛИКОВАНИЕ
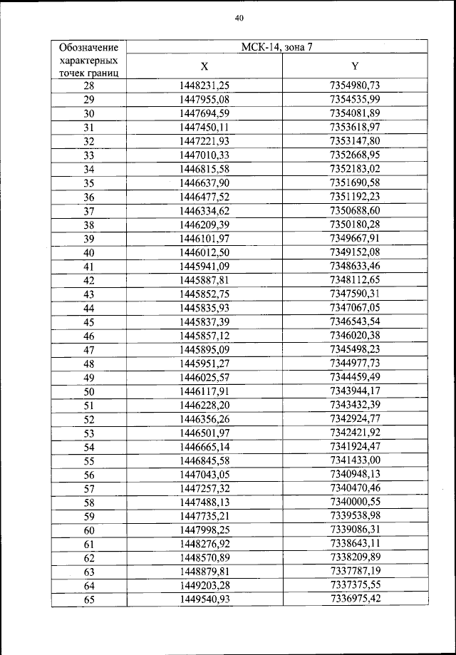
Приказ Федерального агентства воздушного транспорта от 15.08.2023 № 664-П
"Об установлении приаэродромной территории аэродрома гражданской авиации Мома"
(Зарегистрирован 12.09.2023 № 75186)
Номер опубликования: 0001202309120026
Дата опубликования: 12.09.2023
Страница №41 из 61:
Увеличить