Официальное опубликование правовых актов
ОФИЦИАЛЬНОЕ ОПУБЛИКОВАНИЕ
Приказ Федерального агентства воздушного транспорта от 10.08.2023 № 648-П
"Об установлении приаэродромной территории аэродрома гражданской авиации Ямбург"
(Зарегистрирован 06.09.2023 № 75109)
Номер опубликования: 0001202309060010
Дата опубликования: 06.09.2023
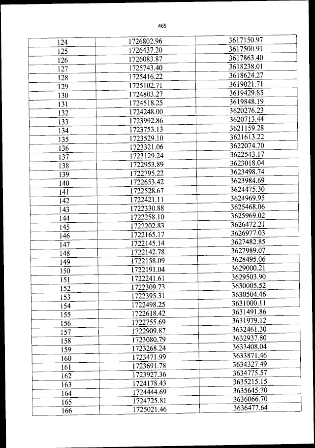
Страница №466 из 507:
Увеличить