Официальное опубликование правовых актов
ОФИЦИАЛЬНОЕ ОПУБЛИКОВАНИЕ
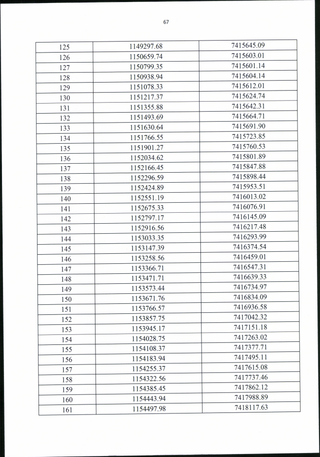
Приказ Федерального агентства воздушного транспорта от 07.08.2023 № 632-П
"Об установлении приаэродромной территории аэродрома гражданской авиации Залив Креста"
(Зарегистрирован 01.09.2023 № 75060)
Номер опубликования: 0001202309010030
Дата опубликования: 01.09.2023
Страница №68 из 203:
Увеличить