Официальное опубликование правовых актов
ОФИЦИАЛЬНОЕ ОПУБЛИКОВАНИЕ
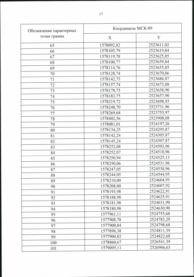
Приказ Федерального агентства воздушного транспорта от 28.07.2023 № 596-П
"Об установлении приаэродромной территории аэродрома гражданской авиации Салехард"
(Зарегистрирован 29.08.2023 № 74995)
Номер опубликования: 0001202308300003
Дата опубликования: 30.08.2023
Страница №18 из 171:
Увеличить