Официальное опубликование правовых актов
ОФИЦИАЛЬНОЕ ОПУБЛИКОВАНИЕ
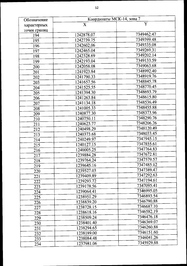
Приказ Федерального агентства воздушного транспорта от 28.07.2023 № 592-П
"Об установлении приаэродромной территории аэродрома гражданской авиации Усть-Нера"
(Зарегистрирован 28.08.2023 № 74983)
Номер опубликования: 0001202308280014
Дата опубликования: 28.08.2023
Страница №53 из 94:
Увеличить