Официальное опубликование правовых актов
ОФИЦИАЛЬНОЕ ОПУБЛИКОВАНИЕ
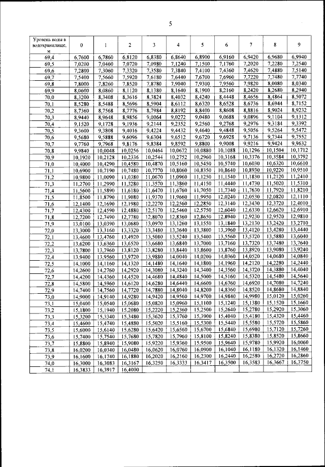
Приказ Федерального агентства водных ресурсов от 25.05.2023 № 101
"Об утверждении Правил использования водных ресурсов Заинского водохранилища"
(Зарегистрирован 18.08.2023 № 74883)
Номер опубликования: 0001202308210011
Дата опубликования: 21.08.2023
Страница №30 из 70:
Увеличить