Официальное опубликование правовых актов
ОФИЦИАЛЬНОЕ ОПУБЛИКОВАНИЕ
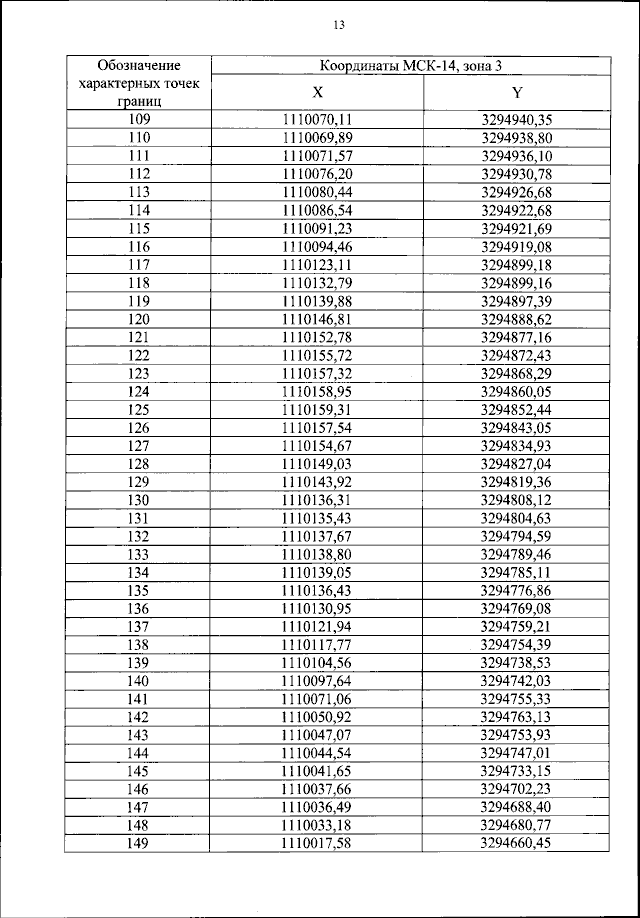
Приказ Федерального агентства воздушного транспорта от 20.07.2023 № 546-П
"Об установлении приаэродромной территории аэродрома гражданской авиации Нюрба"
(Зарегистрирован 17.08.2023 № 74838)
Номер опубликования: 0001202308180004
Дата опубликования: 18.08.2023
Страница №14 из 68:
Увеличить