Официальное опубликование правовых актов
ОФИЦИАЛЬНОЕ ОПУБЛИКОВАНИЕ
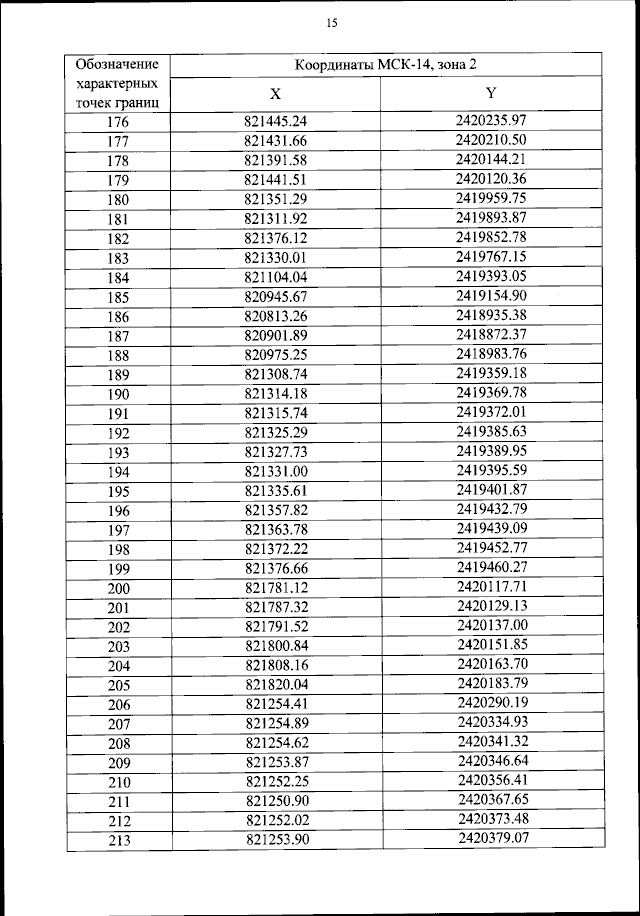
Приказ Федерального агентства воздушного транспорта от 20.07.2023 № 545-П
"Об установлении приаэродромной территории аэродрома гражданской авиации Ленск"
(Зарегистрирован 17.08.2023 № 74829)
Номер опубликования: 0001202308170018
Дата опубликования: 17.08.2023
Страница №16 из 75:
Увеличить