Официальное опубликование правовых актов
ОФИЦИАЛЬНОЕ ОПУБЛИКОВАНИЕ
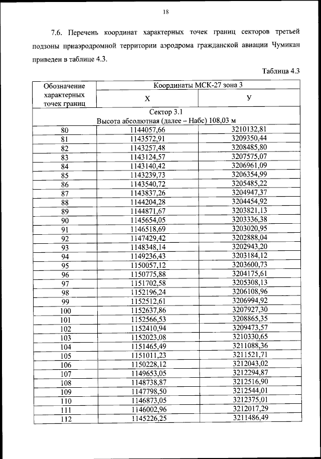
Приказ Федерального агентства воздушного транспорта от 19.07.2023 № 541-П
"Об установлении приаэродромной территории аэродрома гражданской авиации Чумикан"
(Зарегистрирован 16.08.2023 № 74810)
Номер опубликования: 0001202308160013
Дата опубликования: 16.08.2023
Страница №19 из 57:
Увеличить