Официальное опубликование правовых актов
ОФИЦИАЛЬНОЕ ОПУБЛИКОВАНИЕ
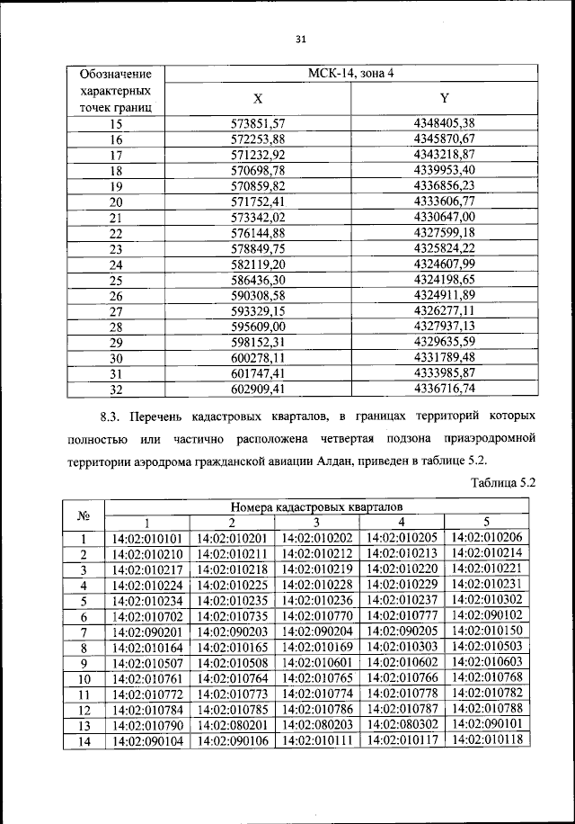
Приказ Федерального агентства воздушного транспорта от 10.07.2023 № 511-П
"Об установлении приаэродромной территории аэродрома гражданской авиации Алдан"
(Зарегистрирован 09.08.2023 № 74698)
Номер опубликования: 0001202308100006
Дата опубликования: 10.08.2023
Страница №32 из 68:
Увеличить