Официальное опубликование правовых актов
ОФИЦИАЛЬНОЕ ОПУБЛИКОВАНИЕ
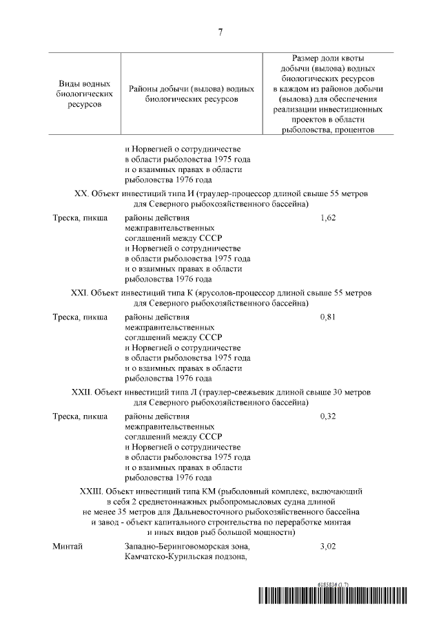
Постановление Правительства Российской Федерации от 07.08.2023 № 1287
"О требованиях к объектам инвестиций и инвестиционным проектам в области рыболовства, а также о порядке расчета обеспечения реализации указанных инвестиционных проектов"
Номер опубликования: 0001202308080024
Дата опубликования: 08.08.2023
Страница №32 из 37:
Увеличить