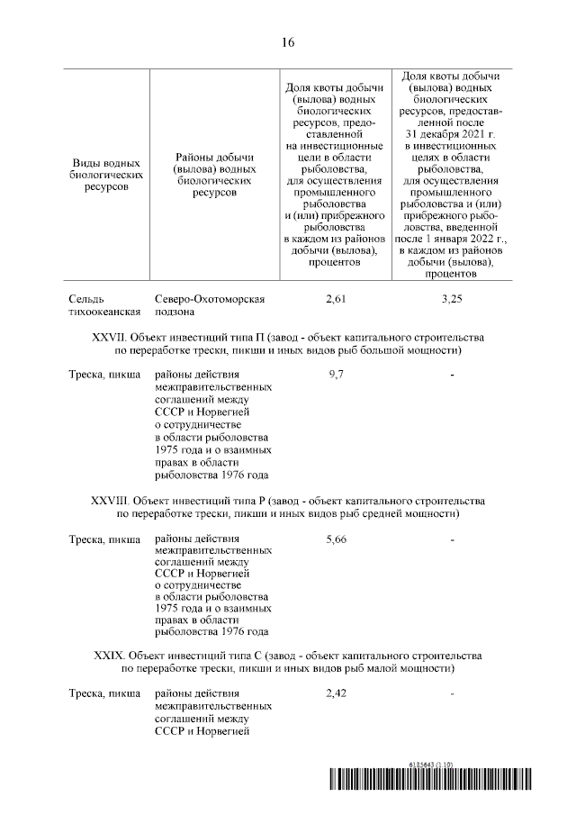
Постановление Правительства Российской Федерации от 07.08.2023 № 1286
"О закреплении и предоставлении долей квот добычи (вылова) водных биологических ресурсов, предусмотренных пунктами 11 и 13 части 1 статьи 30 Федерального закона "О рыболовстве и сохранении водных биологических ресурсов"
"О закреплении и предоставлении долей квот добычи (вылова) водных биологических ресурсов, предусмотренных пунктами 11 и 13 части 1 статьи 30 Федерального закона "О рыболовстве и сохранении водных биологических ресурсов"
Номер опубликования: 0001202308080023
Дата опубликования:
08.08.2023
