Официальное опубликование правовых актов
ОФИЦИАЛЬНОЕ ОПУБЛИКОВАНИЕ
Приказ Федерального агентства воздушного транспорта от 07.07.2023 № 503-П
"Об установлении приаэродромной территории аэродрома гражданской авиации Чара"
(Зарегистрирован 07.08.2023 № 74656)
Номер опубликования: 0001202308080011
Дата опубликования: 08.08.2023
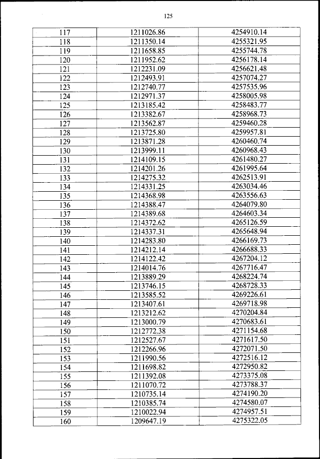
Страница №126 из 137:
Увеличить