Официальное опубликование правовых актов
ОФИЦИАЛЬНОЕ ОПУБЛИКОВАНИЕ
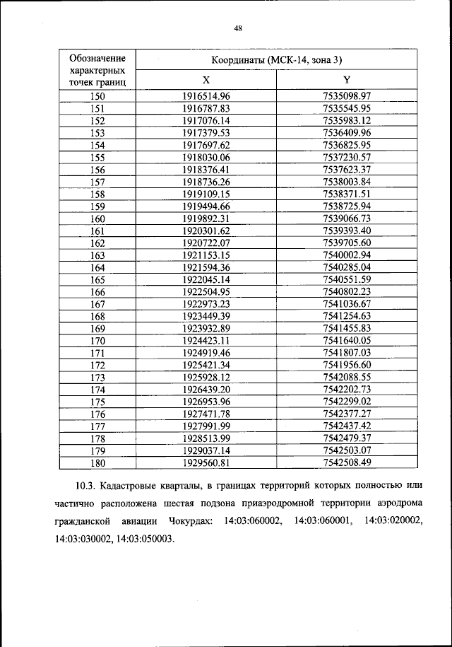
Приказ Федерального агентства воздушного транспорта от 07.07.2023 № 502-П
"Об установлении приаэродромной территории аэродрома гражданской авиации Чокурдах"
(Зарегистрирован 07.08.2023 № 74658)
Номер опубликования: 0001202308080010
Дата опубликования: 08.08.2023
Страница №49 из 61:
Увеличить