Официальное опубликование правовых актов
ОФИЦИАЛЬНОЕ ОПУБЛИКОВАНИЕ
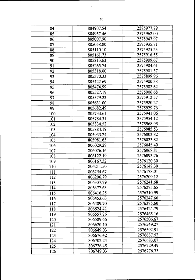
Приказ Федерального агентства воздушного транспорта от 30.06.2023 № 474-П
"Об установлении приаэродромной территории аэродрома гражданской авиации Кондинское"
(Зарегистрирован 01.08.2023 № 74573)
Номер опубликования: 0001202308020020
Дата опубликования: 02.08.2023
Страница №87 из 116:
Увеличить