Официальное опубликование правовых актов
ОФИЦИАЛЬНОЕ ОПУБЛИКОВАНИЕ
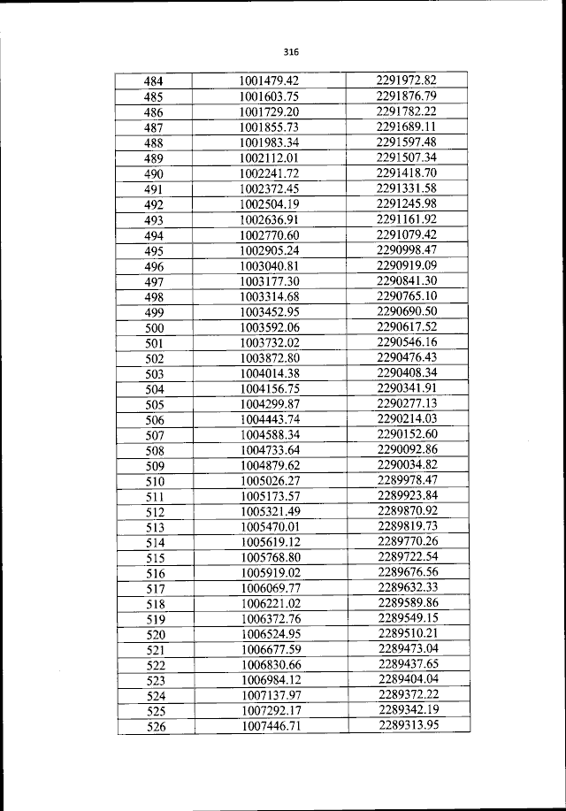
Приказ Федерального агентства воздушного транспорта от 30.06.2023 № 472-П
"Об установлении приаэродромной территории аэродрома гражданской авиации Тында"
(Зарегистрирован 31.07.2023 № 74521)
Номер опубликования: 0001202307310039
Дата опубликования: 31.07.2023
Страница №317 из 443:
Увеличить