Официальное опубликование правовых актов
ОФИЦИАЛЬНОЕ ОПУБЛИКОВАНИЕ
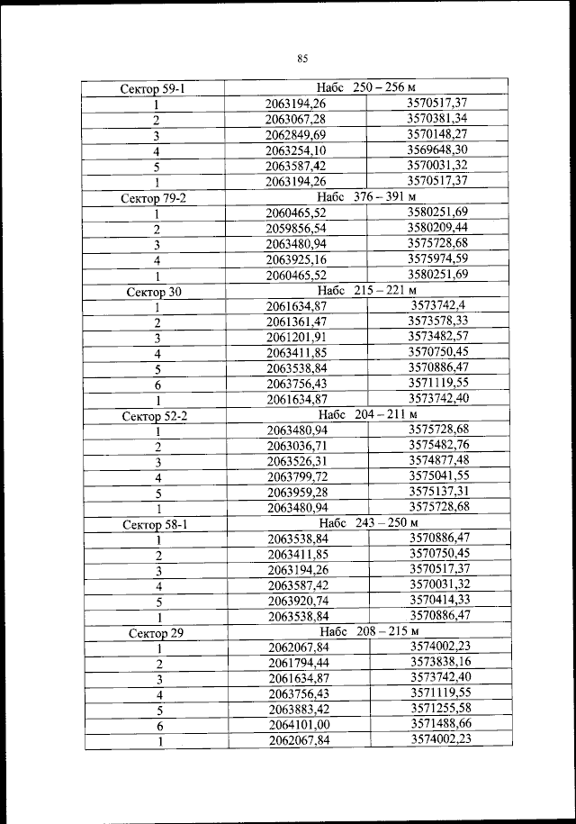
Приказ Федерального агентства воздушного транспорта от 28.06.2023 № 463-П
"Об установлении приаэродромной территории аэродрома гражданской авиации Утренний"
(Зарегистрирован 27.07.2023 № 74481)
Номер опубликования: 0001202307280002
Дата опубликования: 28.07.2023
Страница №86 из 125:
Увеличить