Официальное опубликование правовых актов
ОФИЦИАЛЬНОЕ ОПУБЛИКОВАНИЕ
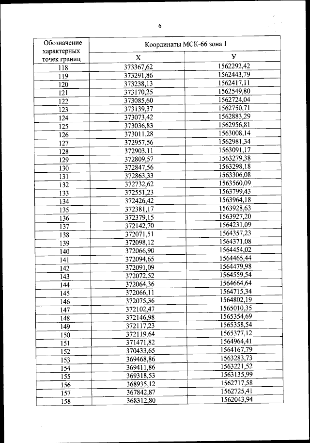
Приказ Федерального агентства воздушного транспорта от 02.06.2023 № 367-П
"Об установлении приаэродромной территории аэродрома гражданской авиации Екатеринбург (Кольцово)"
(Зарегистрирован 26.07.2023 № 74469)
Номер опубликования: 0001202307270028
Дата опубликования: 27.07.2023
Страница №7 из 485:
Увеличить