Официальное опубликование правовых актов
ОФИЦИАЛЬНОЕ ОПУБЛИКОВАНИЕ
Приказ Министерства юстиции Российской Федерации от 25.07.2023 № 197
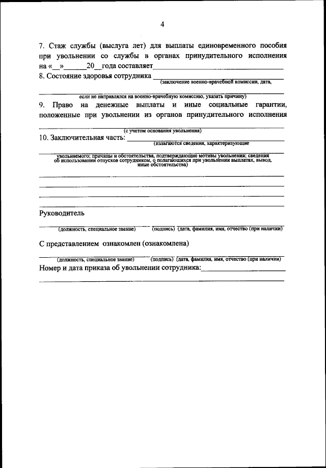
"Об утверждении Порядка представления сотрудников к увольнению со службы в органах принудительного исполнения Российской Федерации, Порядка оформления документов, связанных с прекращением или расторжением контракта, увольнением со службы в органах принудительного исполнения Российской Федерации и Порядка возмещения сотрудником федеральному органу принудительного исполнения стоимости выданных ему предметов вещевого имущества личного пользования с учетом сроков носки"
(Зарегистрирован 26.07.2023 № 74459)
Номер опубликования: 0001202307270016
Дата опубликования: 27.07.2023
Страница №9 из 16:
Увеличить