Официальное опубликование правовых актов
ОФИЦИАЛЬНОЕ ОПУБЛИКОВАНИЕ
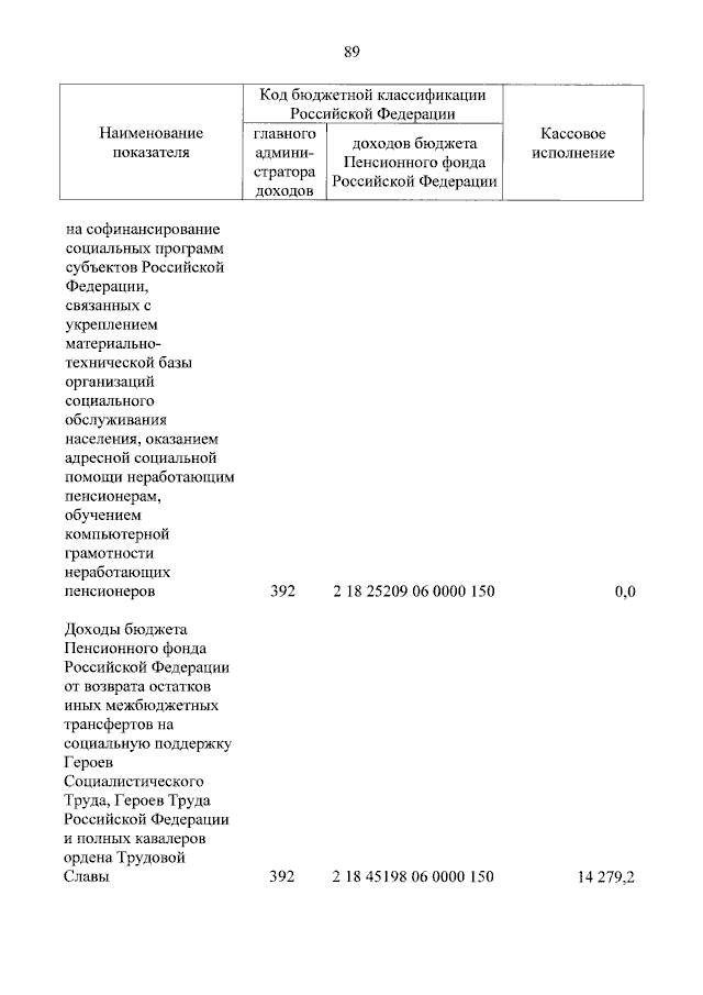
Федеральный закон от 24.07.2023 № 330-ФЗ
"Об исполнении бюджета Пенсионного фонда Российской Федерации за 2022 год"
Номер опубликования: 0001202307240025
Дата опубликования: 24.07.2023
Страница №89 из 171:
Увеличить