Официальное опубликование правовых актов
ОФИЦИАЛЬНОЕ ОПУБЛИКОВАНИЕ
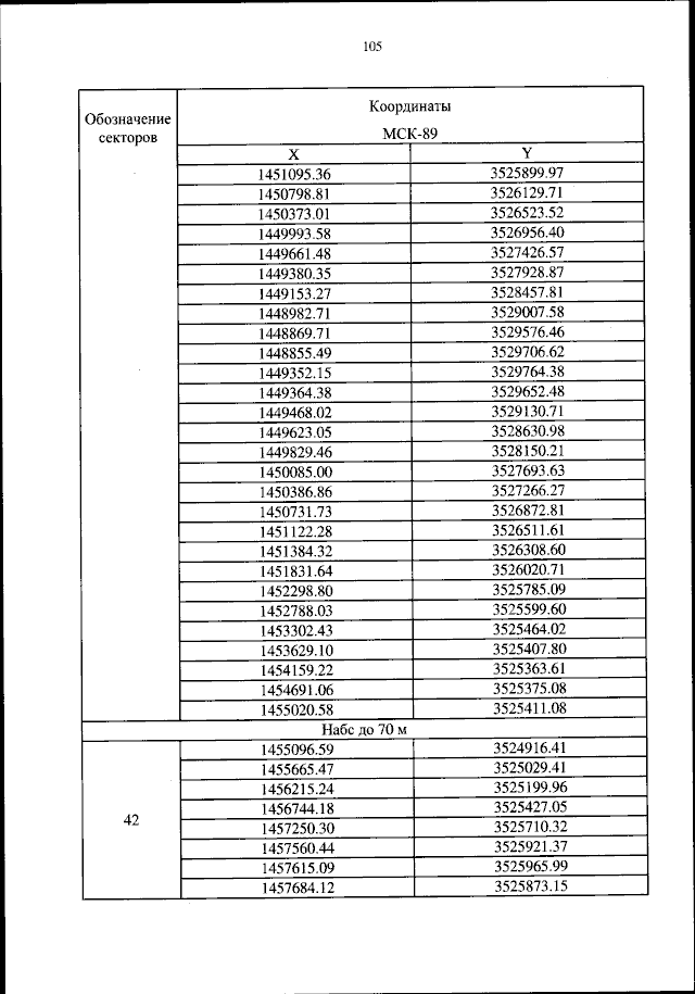
Приказ Федерального агентства воздушного транспорта от 19.06.2023 № 412-П
"Об установлении приаэродромной территории аэродрома гражданской авиации Надым"
(Зарегистрирован 17.07.2023 № 74315)
Номер опубликования: 0001202307170025
Дата опубликования: 17.07.2023
Страница №106 из 156:
Увеличить