Официальное опубликование правовых актов
ОФИЦИАЛЬНОЕ ОПУБЛИКОВАНИЕ
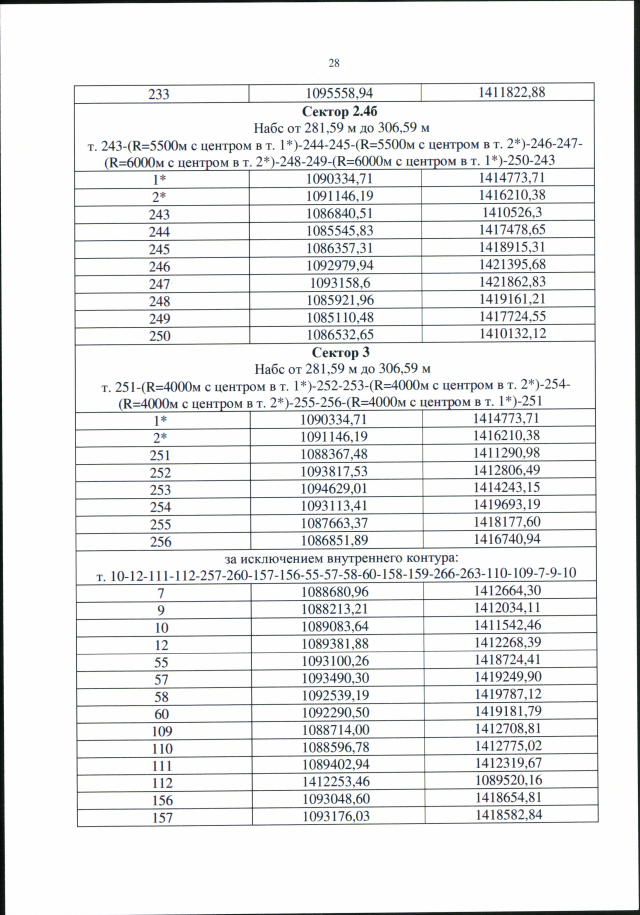
Приказ Федерального агентства воздушного транспорта от 17.04.2023 № 235-П
"Об установлении приаэродромной территории аэродрома гражданской авиации Тигиль"
(Зарегистрирован 13.07.2023 № 74245)
Номер опубликования: 0001202307140013
Дата опубликования: 14.07.2023
Страница №29 из 65:
Увеличить