Официальное опубликование правовых актов
ОФИЦИАЛЬНОЕ ОПУБЛИКОВАНИЕ
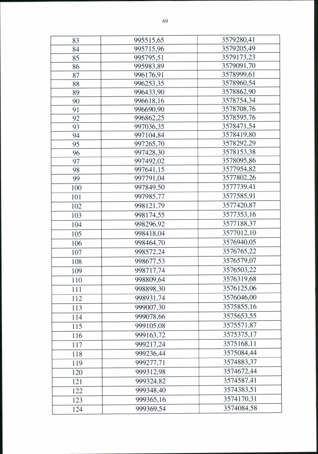
Приказ Федерального агентства воздушного транспорта от 17.04.2023 № 234-П
"Об установлении приаэродромной территории аэродрома гражданской авиации Сургут"
(Зарегистрирован 13.07.2023 № 74249)
Номер опубликования: 0001202307130026
Дата опубликования: 13.07.2023
Страница №70 из 524:
Увеличить