Приказ Федерального агентства воздушного транспорта от 18.05.2023 № 313-П
"Об установлении приаэродромной территории аэродрома гражданской авиации Махачкала (Уйташ)"
(Зарегистрирован 10.07.2023 № 74187)
"Об установлении приаэродромной территории аэродрома гражданской авиации Махачкала (Уйташ)"
(Зарегистрирован 10.07.2023 № 74187)
Номер опубликования: 0001202307130003
Дата опубликования:
13.07.2023
| Страница №1 из 725: | ||
|
|
||
| Страница №2 из 725: | ||
|
|
||
| Страница №3 из 725: | ||
|
|
||
| Страница №4 из 725: | ||
|
|
||
| Страница №5 из 725: | ||
|
|
||
| Страница №6 из 725: | ||
|
|
||
| Страница №7 из 725: | ||
|
|
||
| Страница №8 из 725: | ||
|
|
||
| Страница №9 из 725: | ||
|
|
||
| Страница №10 из 725: | ||
|
|
||
| Страница №11 из 725: | ||
|
|
||
| Страница №12 из 725: | ||
|
|
||
| Страница №13 из 725: | ||
| Страница №14 из 725: | ||
|
|
||
| Страница №15 из 725: | ||
|
|
||
| Страница №16 из 725: | ||
| Страница №17 из 725: | ||
|
|
||
| Страница №18 из 725: | ||
|
|
||
| Страница №19 из 725: | ||
|
|
||
| Страница №20 из 725: | ||
|
|
||
| Страница №21 из 725: | ||
| Страница №22 из 725: | ||
|
|
||
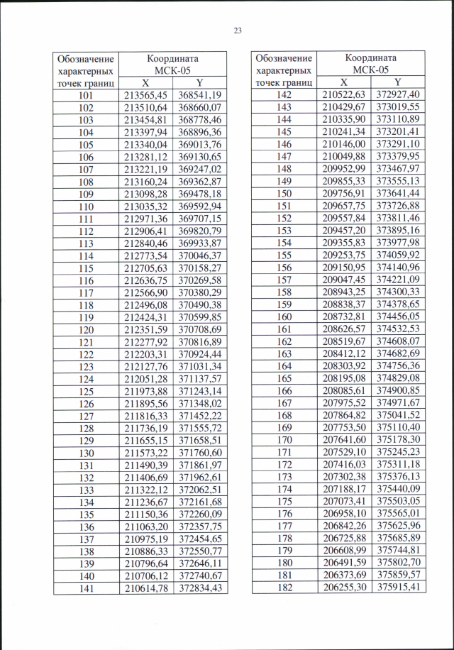
| Страница №23 из 725: | ||
|
|
||
| Страница №24 из 725: | ||
|
|
||
| Страница №25 из 725: | ||
|
|
||
| Страница №26 из 725: | ||
|
|
||
| Страница №27 из 725: | ||
|
|
||
| Страница №28 из 725: | ||
|
|
||
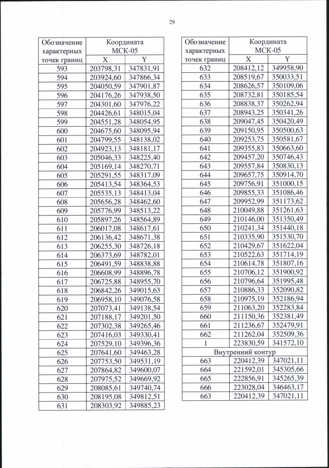
| Страница №29 из 725: | ||
|
|
||
| Страница №30 из 725: | ||
|
|
||
| Страница №31 из 725: | ||
|
|
||
| Страница №32 из 725: | ||
|
|
||
| Страница №33 из 725: | ||
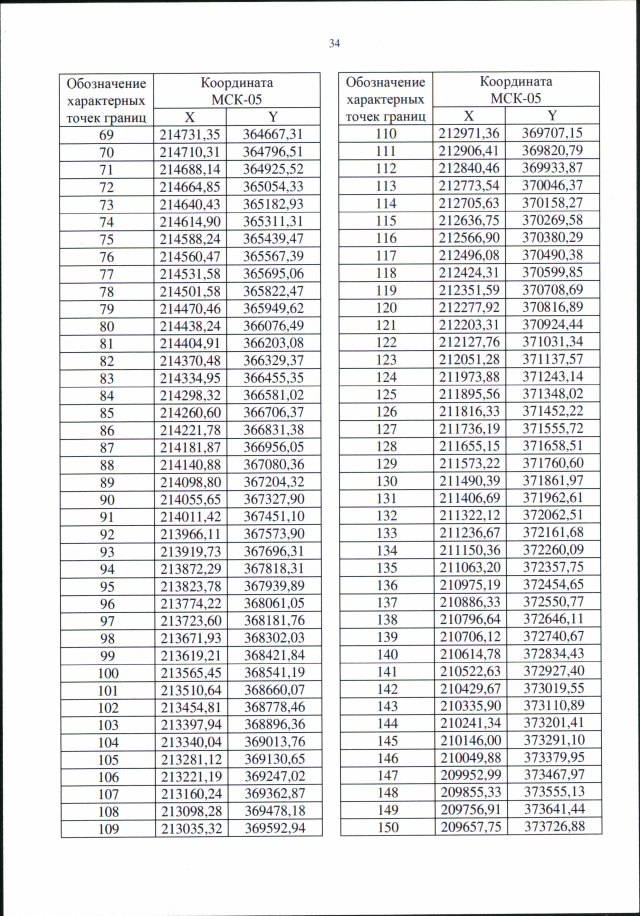
| Страница №34 из 725: | ||
|
|
||
| Страница №35 из 725: | ||
|
|
||
| Страница №36 из 725: | ||
|
|
||
| Страница №37 из 725: | ||
|
|
||
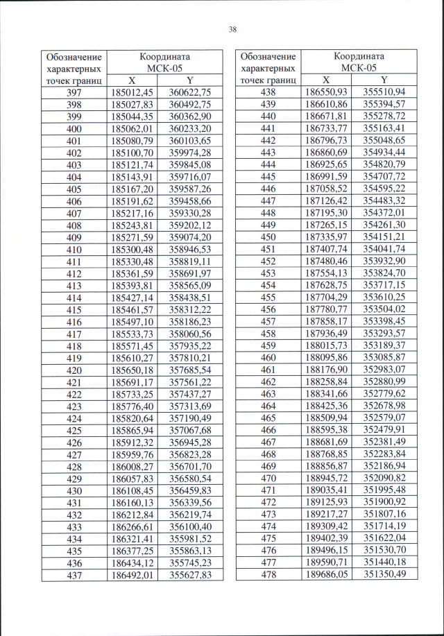
| Страница №38 из 725: | ||
|
|
||
| Страница №39 из 725: | ||
|
|
||
| Страница №40 из 725: | ||
|
|
||
| Страница №41 из 725: | ||
|
|
||
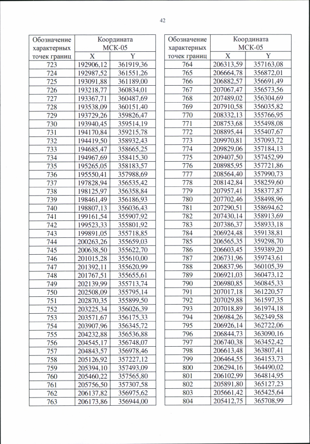
| Страница №42 из 725: | ||
|
|
||
| Страница №43 из 725: | ||
|
|
||
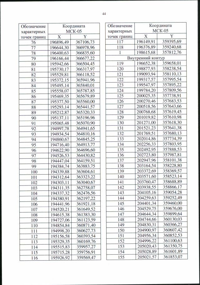
| Страница №44 из 725: | ||
|
|
||
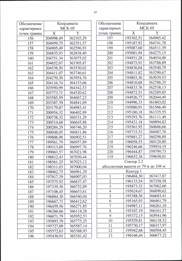
| Страница №45 из 725: | ||
|
|
||
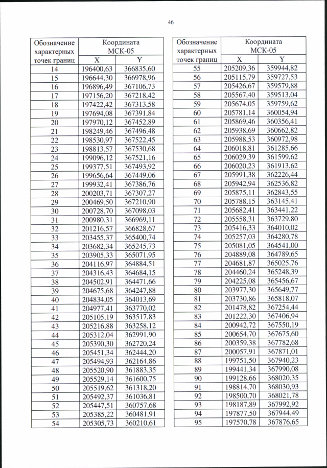
| Страница №46 из 725: | ||
|
|
||
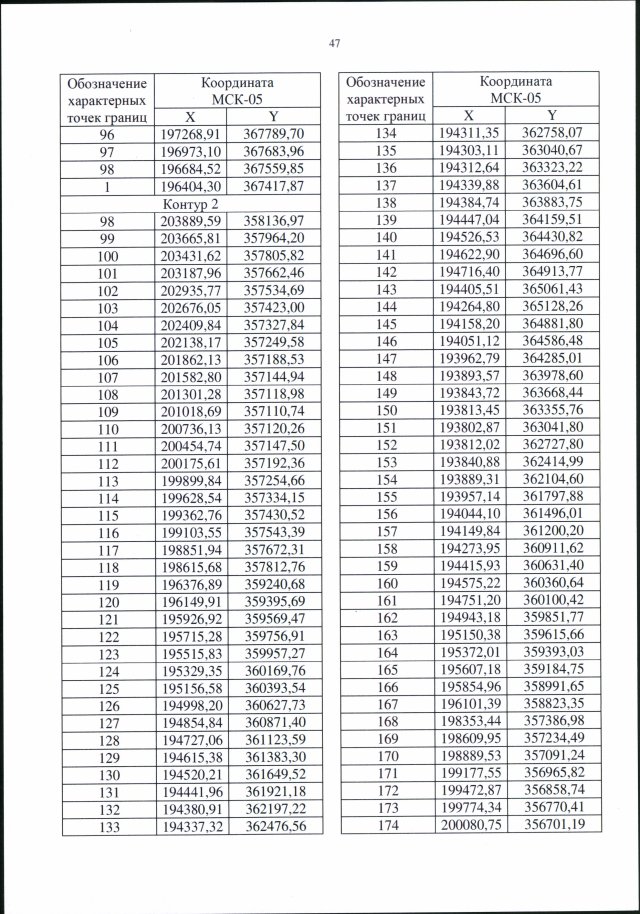
| Страница №47 из 725: | ||
|
|
||
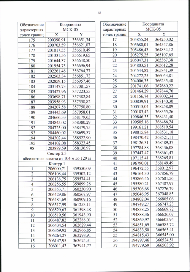
| Страница №48 из 725: | ||
|
|
||
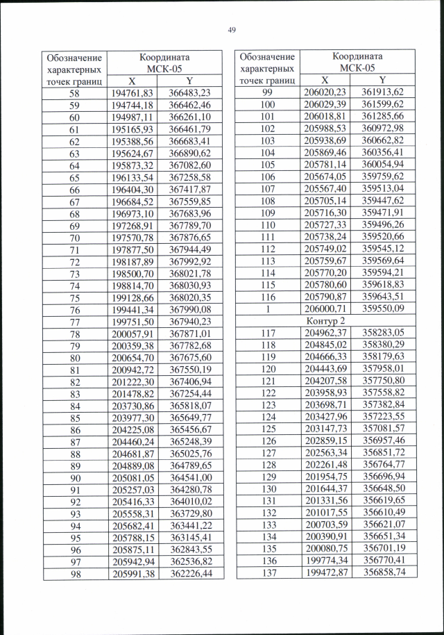
| Страница №49 из 725: | ||
|
|
||
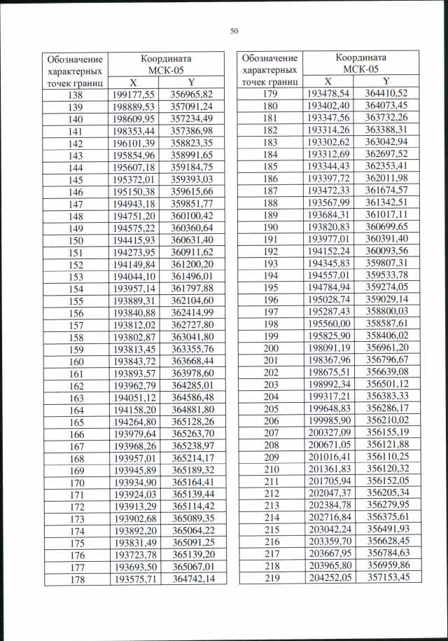
| Страница №50 из 725: | ||
|
|
||
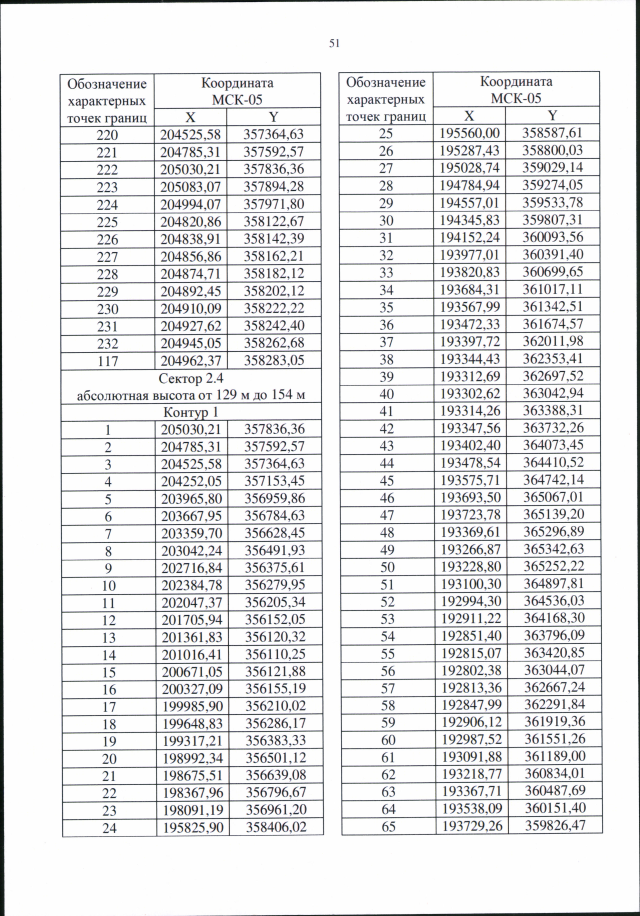
| Страница №51 из 725: | ||
|
|
||
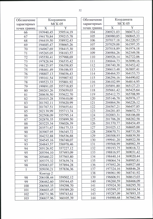
| Страница №52 из 725: | ||
|
|
||
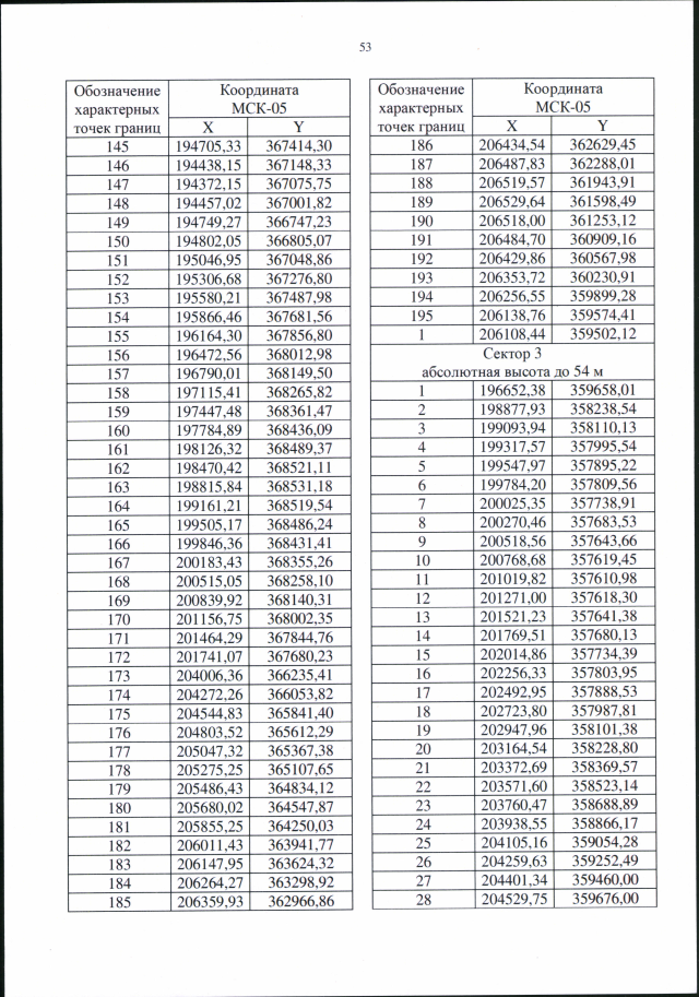
| Страница №53 из 725: | ||
|
|
||
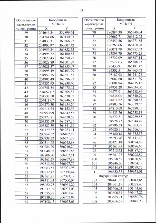
| Страница №54 из 725: | ||
|
|
||
| Страница №55 из 725: | ||
|
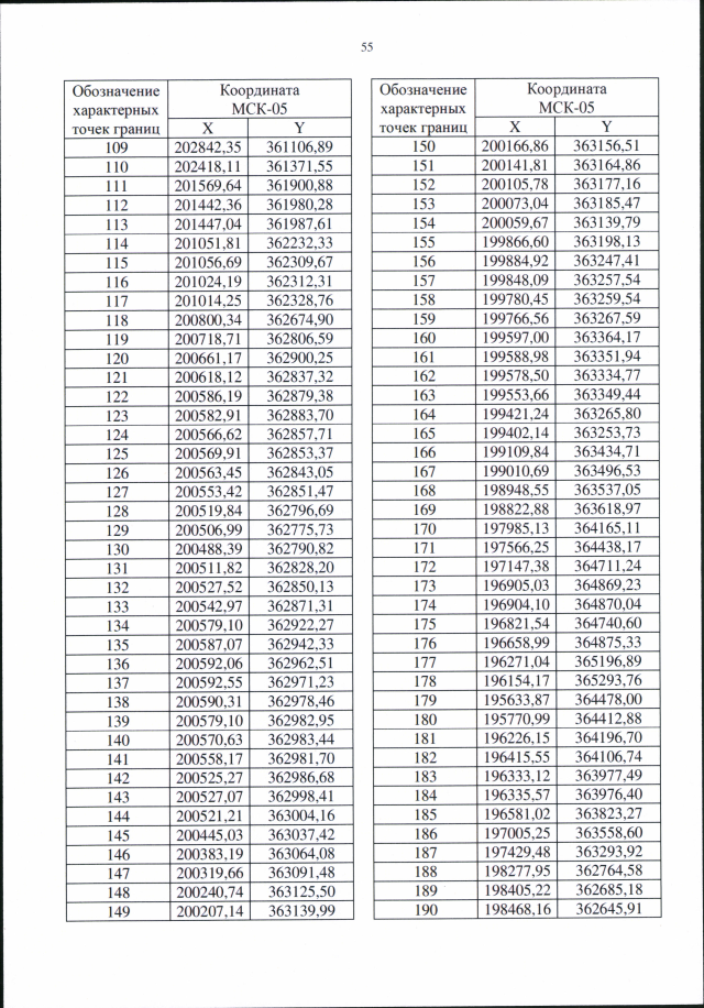
|
||
| Страница №56 из 725: | ||
|
|
||
| Страница №57 из 725: | ||
|
|
||
| Страница №58 из 725: | ||
|
|
||
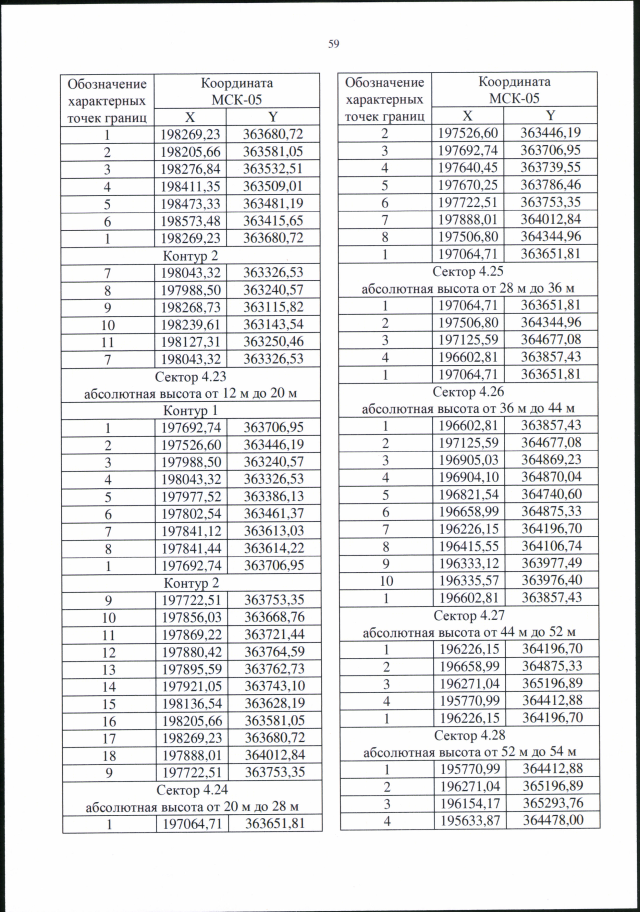
| Страница №59 из 725: | ||
|
|
||
| Страница №60 из 725: | ||
|
|
||
| Страница №61 из 725: | ||
|
|
||
| Страница №62 из 725: | ||
|
|
||
| Страница №63 из 725: | ||
|
|
||
| Страница №64 из 725: | ||
|
|
||
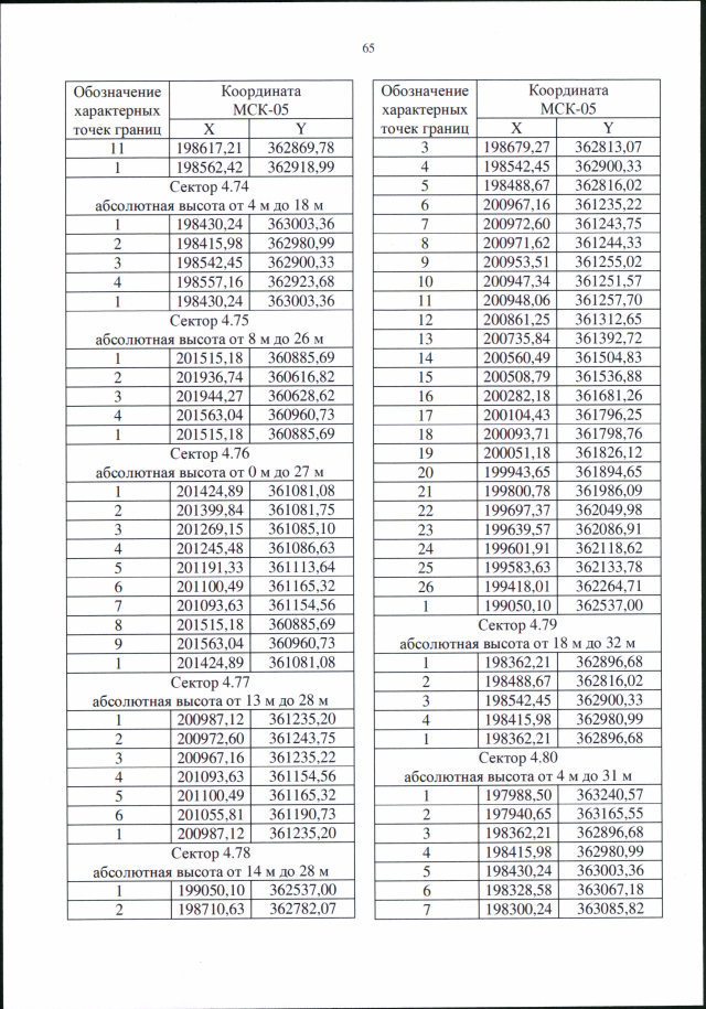
| Страница №65 из 725: | ||
|
|
||
| Страница №66 из 725: | ||
|
|
||
| Страница №67 из 725: | ||
|
|
||
| Страница №68 из 725: | ||
|
|
||
| Страница №69 из 725: | ||
|
|
||
| Страница №70 из 725: | ||
|
|
||
| Страница №71 из 725: | ||
| Страница №72 из 725: | ||
|
|
||
| Страница №73 из 725: | ||
|
|
||
| Страница №74 из 725: | ||
|
|
||
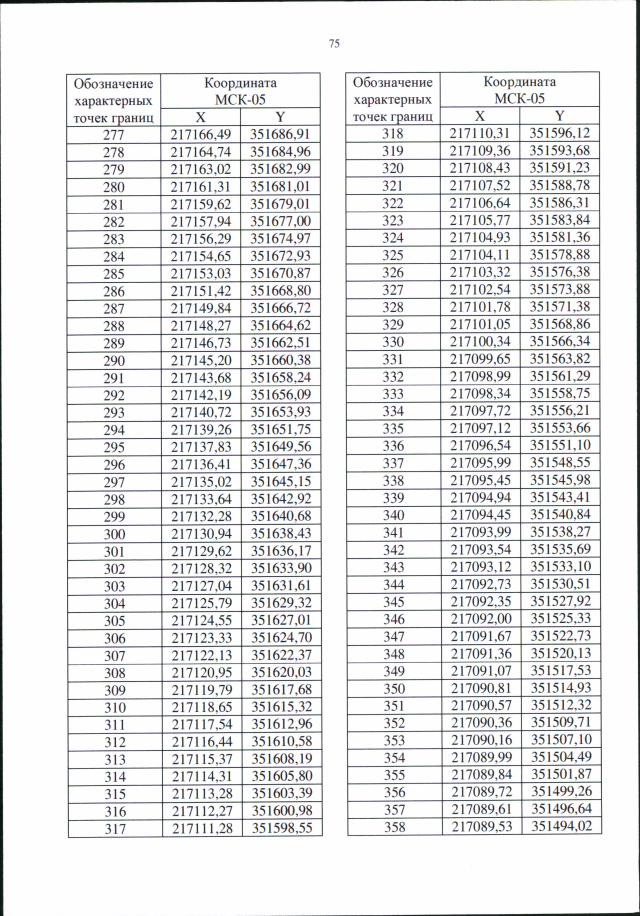
| Страница №75 из 725: | ||
|
|
||
| Страница №76 из 725: | ||
|
|
||
| Страница №77 из 725: | ||
|
|
||
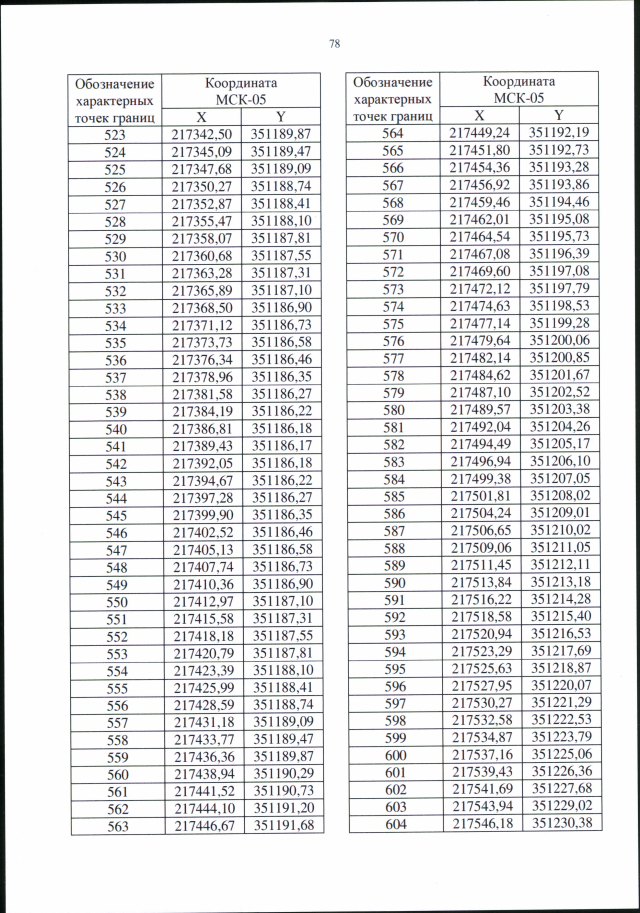
| Страница №78 из 725: | ||
|
|
||
| Страница №79 из 725: | ||
|
|
||
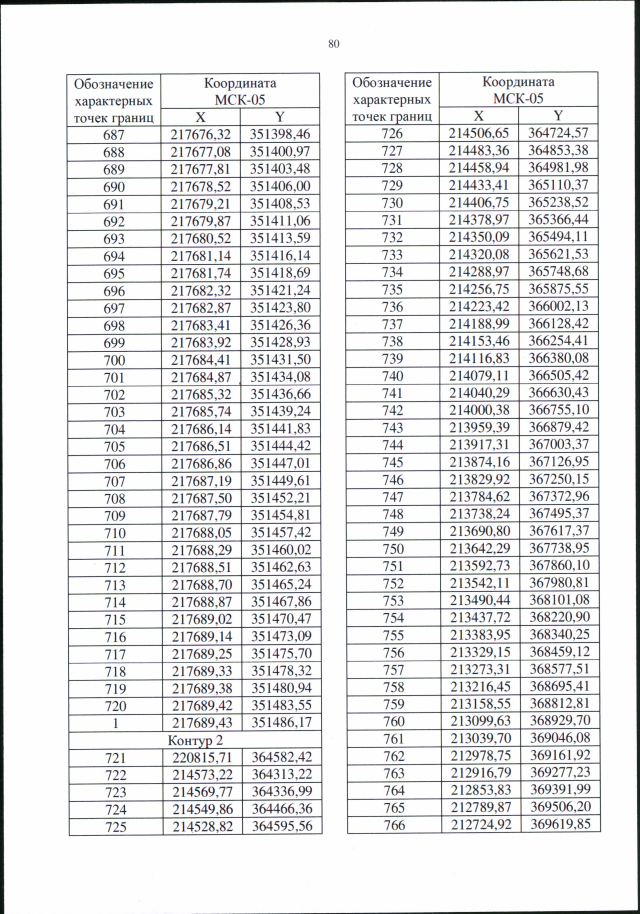
| Страница №80 из 725: | ||
|
|
||
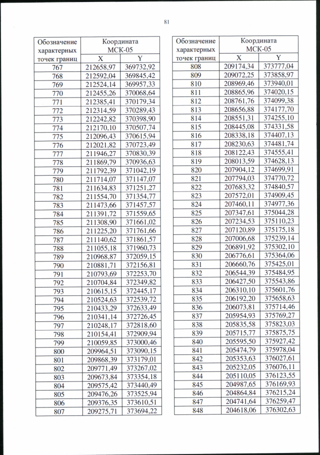
| Страница №81 из 725: | ||
|
|
||
| Страница №82 из 725: | ||
|
|
||
| Страница №83 из 725: | ||
|
|
||
| Страница №84 из 725: | ||
|
|
||
| Страница №85 из 725: | ||
|
|
||
| Страница №86 из 725: | ||
|
|
||
| Страница №87 из 725: | ||
|
|
||
| Страница №88 из 725: | ||
|
|
||
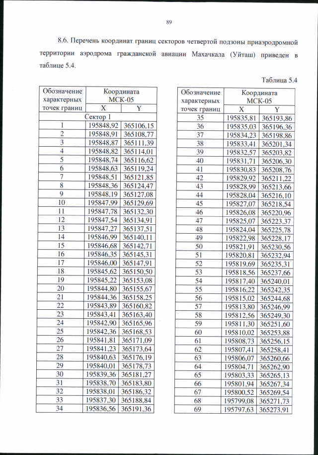
| Страница №89 из 725: | ||
| Страница №90 из 725: | ||
|
|
||
| Страница №91 из 725: | ||
|
|
||
| Страница №92 из 725: | ||
|
|
||
| Страница №93 из 725: | ||
|
|
||
| Страница №94 из 725: | ||
|
|
||
| Страница №95 из 725: | ||
|
|
||
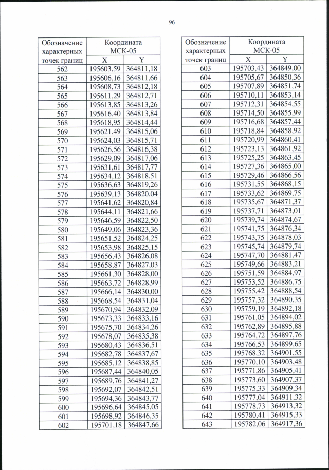
| Страница №96 из 725: | ||
|
|
||
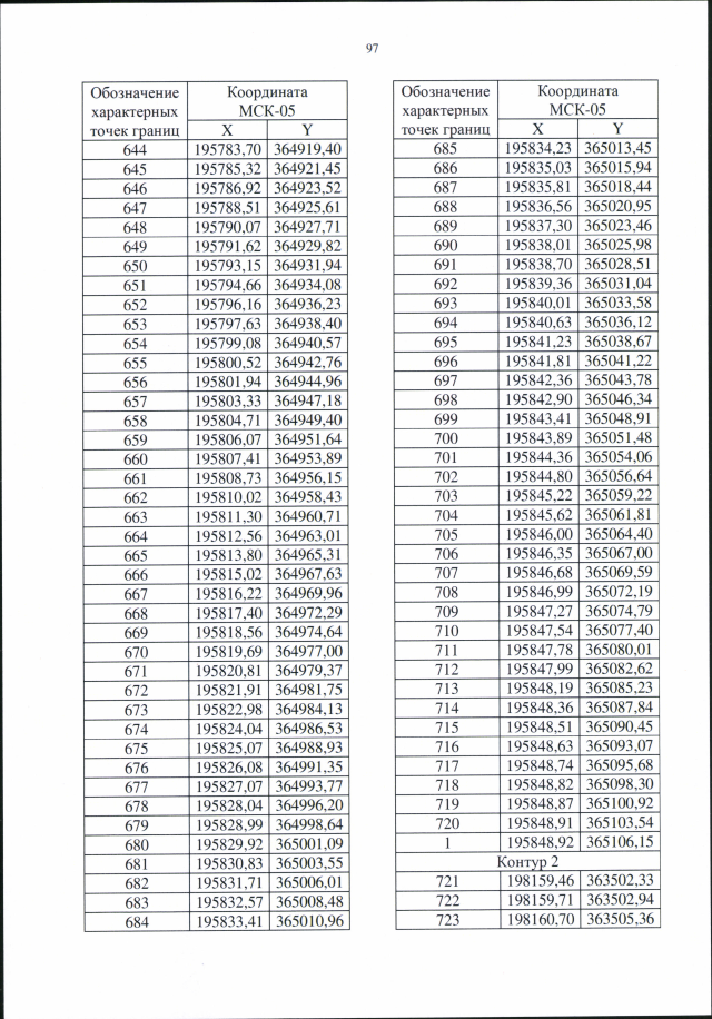
| Страница №97 из 725: | ||
|
|
||
| Страница №98 из 725: | ||
|
|
||
| Страница №99 из 725: | ||
|
|
||
| Страница №100 из 725: | ||
|
|
||
| Страница №101 из 725: | ||
|
|
||
| Страница №102 из 725: | ||
|
|
||
| Страница №103 из 725: | ||
|
|
||
| Страница №104 из 725: | ||
|
|
||
| Страница №105 из 725: | ||
|
|
||
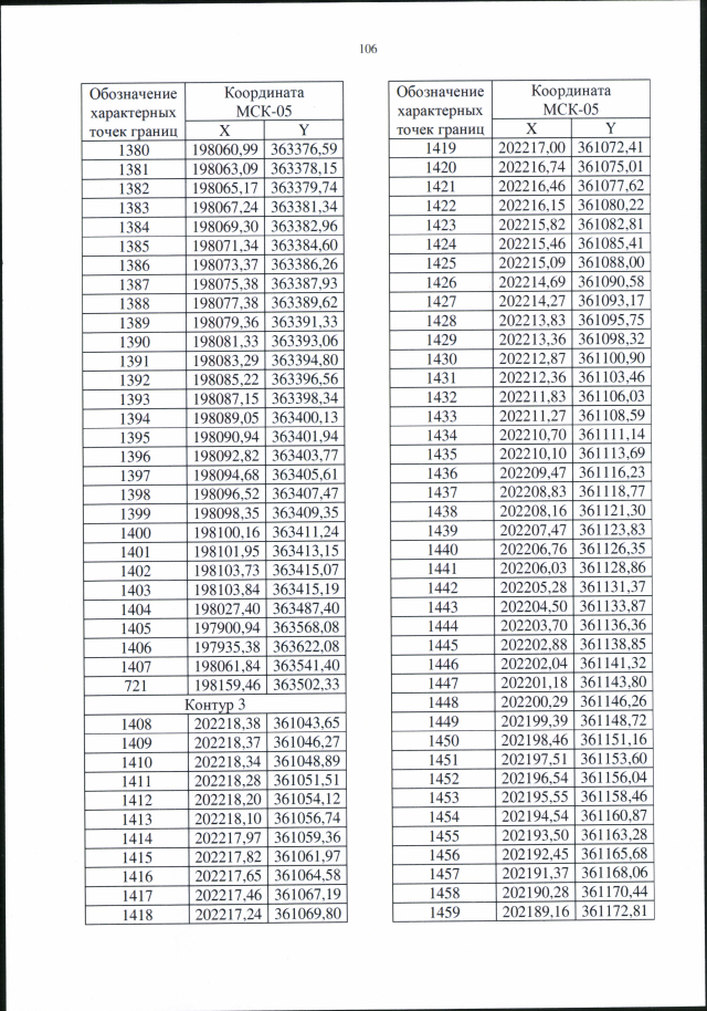
| Страница №106 из 725: | ||
|
|
||
| Страница №107 из 725: | ||
|
|
||
| Страница №108 из 725: | ||
|
|
||
| Страница №109 из 725: | ||
|
|
||
| Страница №110 из 725: | ||
|
|
||
| Страница №111 из 725: | ||
|
|
||
| Страница №112 из 725: | ||
|
|
||
| Страница №113 из 725: | ||
|
|
||
| Страница №114 из 725: | ||
|
|
||
| Страница №115 из 725: | ||
|
|
||
| Страница №116 из 725: | ||
|
|
||
| Страница №117 из 725: | ||
|
|
||
| Страница №118 из 725: | ||
|
|
||
| Страница №119 из 725: | ||
|
|
||
| Страница №120 из 725: | ||
|
|
||
| Страница №121 из 725: | ||
|
|
||
| Страница №122 из 725: | ||
|
|
||
| Страница №123 из 725: | ||
|
|
||
| Страница №124 из 725: | ||
|
|
||
| Страница №125 из 725: | ||
|
|
||
| Страница №126 из 725: | ||
|
|
||
| Страница №127 из 725: | ||
|
|
||
| Страница №128 из 725: | ||
|
|
||
| Страница №129 из 725: | ||
|
|
||
| Страница №130 из 725: | ||
|
|
||
| Страница №131 из 725: | ||
|
|
||
| Страница №132 из 725: | ||
|
|
||
| Страница №133 из 725: | ||
|
|
||
| Страница №134 из 725: | ||
|
|
||
| Страница №135 из 725: | ||
|
|
||
| Страница №136 из 725: | ||
|
|
||
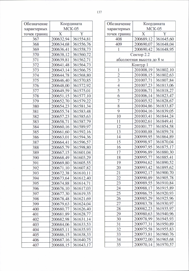
| Страница №137 из 725: | ||
|
|
||
| Страница №138 из 725: | ||
|
|
||
| Страница №139 из 725: | ||
|
|
||
| Страница №140 из 725: | ||
|
|
||
| Страница №141 из 725: | ||
|
|
||
| Страница №142 из 725: | ||
|
|
||
| Страница №143 из 725: | ||
|
|
||
| Страница №144 из 725: | ||
|
|
||
| Страница №145 из 725: | ||
|
|
||
| Страница №146 из 725: | ||
|
|
||
| Страница №147 из 725: | ||
|
|
||
| Страница №148 из 725: | ||
|
|
||
| Страница №149 из 725: | ||
|
|
||
| Страница №150 из 725: | ||
|
|
||
| Страница №151 из 725: | ||
|
|
||
| Страница №152 из 725: | ||
|
|
||
| Страница №153 из 725: | ||
|
|
||
| Страница №154 из 725: | ||
|
|
||
| Страница №155 из 725: | ||
|
|
||
| Страница №156 из 725: | ||
|
|
||
| Страница №157 из 725: | ||
|
|
||
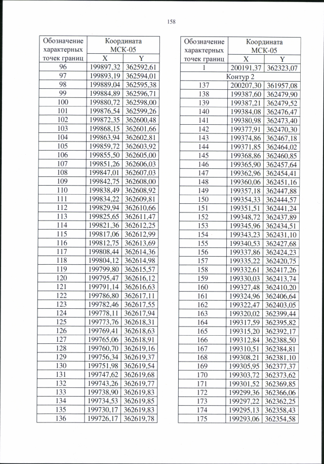
| Страница №158 из 725: | ||
|
|
||
| Страница №159 из 725: | ||
|
|
||
| Страница №160 из 725: | ||
|
|
||
| Страница №161 из 725: | ||
|
|
||
| Страница №162 из 725: | ||
|
|
||
| Страница №163 из 725: | ||
|
|
||
| Страница №164 из 725: | ||
|
|
||
| Страница №165 из 725: | ||
|
|
||
| Страница №166 из 725: | ||
|
|
||
| Страница №167 из 725: | ||
|
|
||
| Страница №168 из 725: | ||
|
|
||
| Страница №169 из 725: | ||
|
|
||
| Страница №170 из 725: | ||
|
|
||
| Страница №171 из 725: | ||
|
|
||
| Страница №172 из 725: | ||
|
|
||
| Страница №173 из 725: | ||
|
|
||
| Страница №174 из 725: | ||
|
|
||
| Страница №175 из 725: | ||
|
|
||
| Страница №176 из 725: | ||
|
|
||
| Страница №177 из 725: | ||
|
|
||
| Страница №178 из 725: | ||
|
|
||
| Страница №179 из 725: | ||
|
|
||
| Страница №180 из 725: | ||
|
|
||
| Страница №181 из 725: | ||
|
|
||
| Страница №182 из 725: | ||
|
|
||
| Страница №183 из 725: | ||
|
|
||
| Страница №184 из 725: | ||
|
|
||
| Страница №185 из 725: | ||
|
|
||
| Страница №186 из 725: | ||
|
|
||
| Страница №187 из 725: | ||
|
|
||
| Страница №188 из 725: | ||
|
|
||
| Страница №189 из 725: | ||
|
|
||
| Страница №190 из 725: | ||
|
|
||
| Страница №191 из 725: | ||
|
|
||
| Страница №192 из 725: | ||
|
|
||
| Страница №193 из 725: | ||
|
|
||
| Страница №194 из 725: | ||
|
|
||
| Страница №195 из 725: | ||
|
|
||
| Страница №196 из 725: | ||
|
|
||
| Страница №197 из 725: | ||
|
|
||
| Страница №198 из 725: | ||
|
|
||
| Страница №199 из 725: | ||
|
|
||
| Страница №200 из 725: | ||
|
|
||
| Страница №201 из 725: | ||
|
|
||
| Страница №202 из 725: | ||
|
|
||
| Страница №203 из 725: | ||
|
|
||
| Страница №204 из 725: | ||
|
|
||
| Страница №205 из 725: | ||
|
|
||
| Страница №206 из 725: | ||
|
|
||
| Страница №207 из 725: | ||
|
|
||
| Страница №208 из 725: | ||
|
|
||
| Страница №209 из 725: | ||
|
|
||
| Страница №210 из 725: | ||
|
|
||
| Страница №211 из 725: | ||
|
|
||
| Страница №212 из 725: | ||
|
|
||
| Страница №213 из 725: | ||
|
|
||
| Страница №214 из 725: | ||
|
|
||
| Страница №215 из 725: | ||
|
|
||
| Страница №216 из 725: | ||
|
|
||
| Страница №217 из 725: | ||
|
|
||
| Страница №218 из 725: | ||
|
|
||
| Страница №219 из 725: | ||
|
|
||
| Страница №220 из 725: | ||
|
|
||
| Страница №221 из 725: | ||
|
|
||
| Страница №222 из 725: | ||
|
|
||
| Страница №223 из 725: | ||
|
|
||
| Страница №224 из 725: | ||
|
|
||
| Страница №225 из 725: | ||
|
|
||
| Страница №226 из 725: | ||
|
|
||
| Страница №227 из 725: | ||
|
|
||
| Страница №228 из 725: | ||
|
|
||
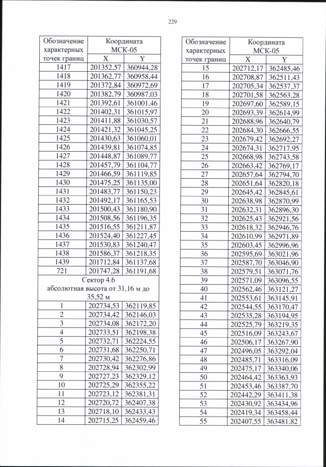
| Страница №229 из 725: | ||
|
|
||
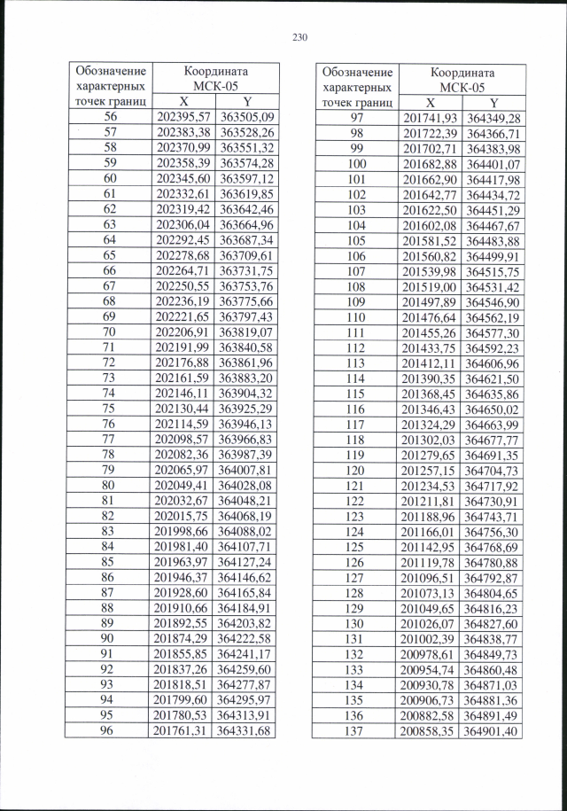
| Страница №230 из 725: | ||
|
|
||
| Страница №231 из 725: | ||
|
|
||
| Страница №232 из 725: | ||
|
|
||
| Страница №233 из 725: | ||
|
|
||
| Страница №234 из 725: | ||
|
|
||
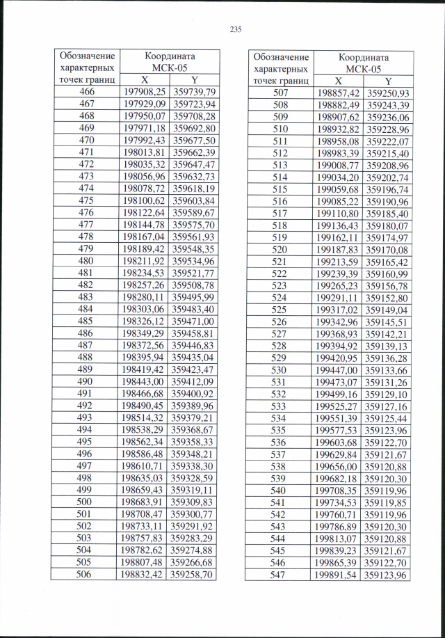
| Страница №235 из 725: | ||
|
|
||
| Страница №236 из 725: | ||
|
|
||
| Страница №237 из 725: | ||
|
|
||
| Страница №238 из 725: | ||
|
|
||
| Страница №239 из 725: | ||
|
|
||
| Страница №240 из 725: | ||
|
|
||
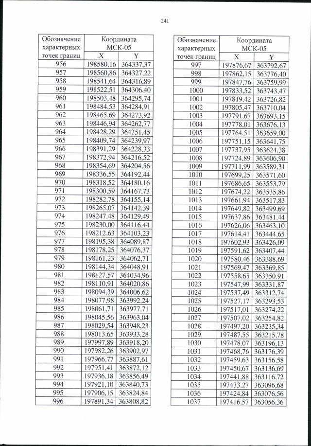
| Страница №241 из 725: | ||
|
|
||
| Страница №242 из 725: | ||
|
|
||
| Страница №243 из 725: | ||
|
|
||
| Страница №244 из 725: | ||
|
|
||
| Страница №245 из 725: | ||
|
|
||
| Страница №246 из 725: | ||
|
|
||
| Страница №247 из 725: | ||
|
|
||
| Страница №248 из 725: | ||
|
|
||
| Страница №249 из 725: | ||
|
|
||
| Страница №250 из 725: | ||
|
|
||
| Страница №251 из 725: | ||
|
|
||
| Страница №252 из 725: | ||
|
|
||
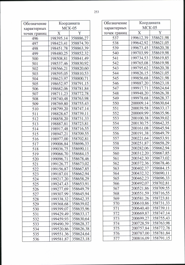
| Страница №253 из 725: | ||
|
|
||
| Страница №254 из 725: | ||
|
|
||
| Страница №255 из 725: | ||
|
|
||
| Страница №256 из 725: | ||
|
|
||
| Страница №257 из 725: | ||
|
|
||
| Страница №258 из 725: | ||
|
|
||
| Страница №259 из 725: | ||
|
|
||
| Страница №260 из 725: | ||
|
|
||
| Страница №261 из 725: | ||
|
|
||
| Страница №262 из 725: | ||
|
|
||
| Страница №263 из 725: | ||
|
|
||
| Страница №264 из 725: | ||
|
|
||
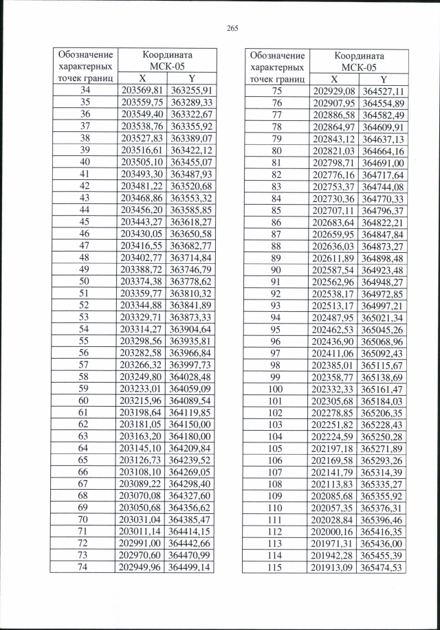
| Страница №265 из 725: | ||
|
|
||
| Страница №266 из 725: | ||
|
|
||
| Страница №267 из 725: | ||
|
|
||
| Страница №268 из 725: | ||
|
|
||
| Страница №269 из 725: | ||
|
|
||
| Страница №270 из 725: | ||
|
|
||
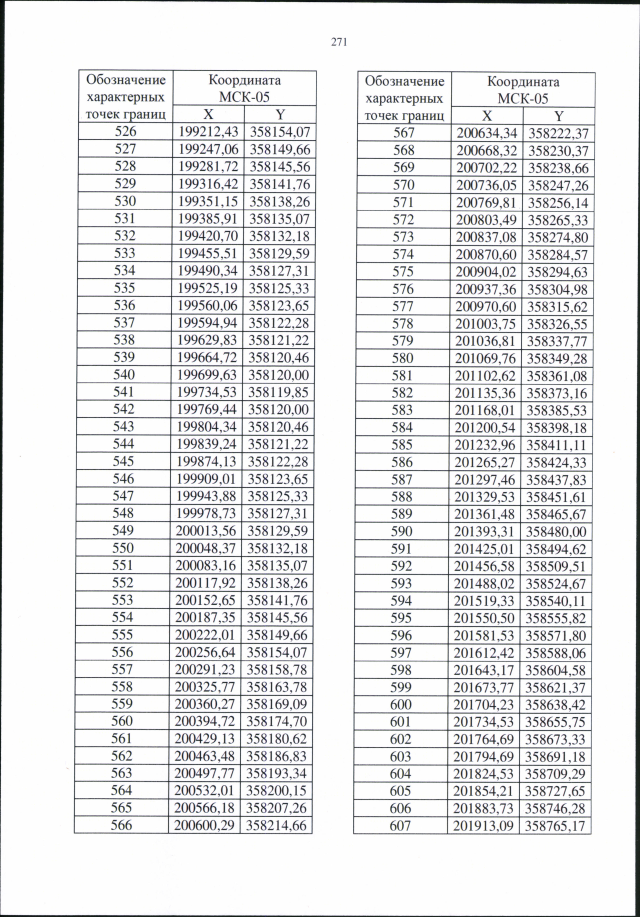
| Страница №271 из 725: | ||
|
|
||
| Страница №272 из 725: | ||
|
|
||
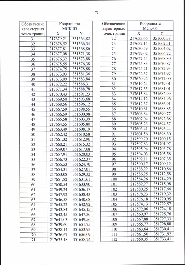
| Страница №273 из 725: | ||
|
|
||
| Страница №274 из 725: | ||
|
|
||
| Страница №275 из 725: | ||
|
|
||
| Страница №276 из 725: | ||
|
|
||
| Страница №277 из 725: | ||
|
|
||
| Страница №278 из 725: | ||
|
|
||
| Страница №279 из 725: | ||
|
|
||
| Страница №280 из 725: | ||
|
|
||
| Страница №281 из 725: | ||
|
|
||
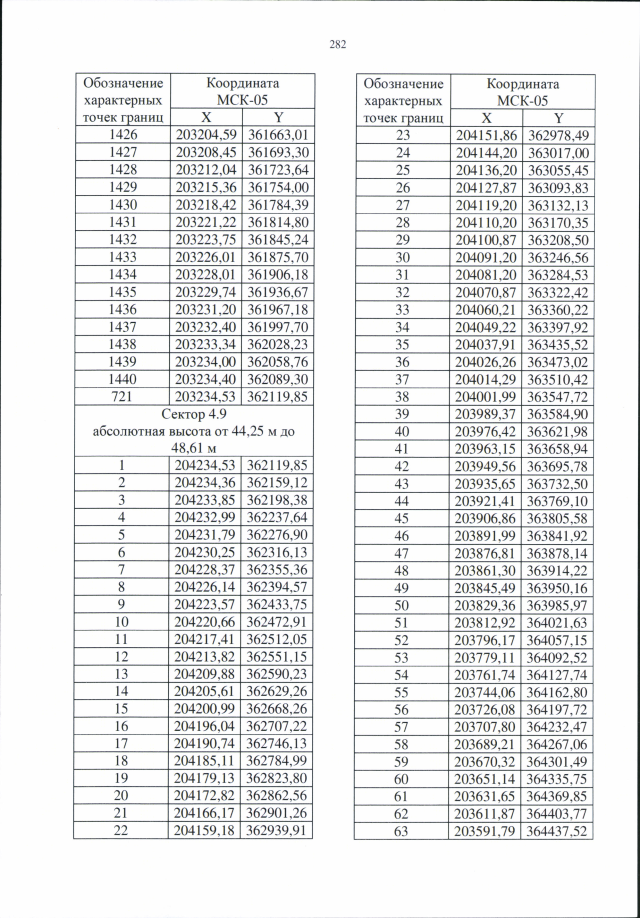
| Страница №282 из 725: | ||
|
|
||
| Страница №283 из 725: | ||
|
|
||
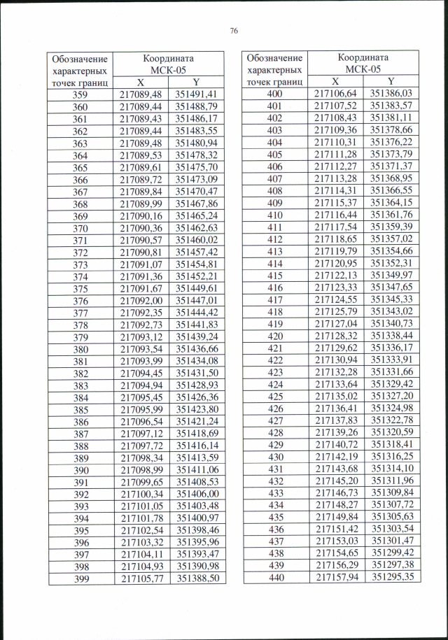
| Страница №284 из 725: | ||
|
|
||
| Страница №285 из 725: | ||
|
|
||
| Страница №286 из 725: | ||
|
|
||
| Страница №287 из 725: | ||
|
|
||
| Страница №288 из 725: | ||
|
|
||
| Страница №289 из 725: | ||
|
|
||
| Страница №290 из 725: | ||
|
|
||
| Страница №291 из 725: | ||
|
|
||
| Страница №292 из 725: | ||
|
|
||
| Страница №293 из 725: | ||
|
|
||
| Страница №294 из 725: | ||
|
|
||
| Страница №295 из 725: | ||
|
|
||
| Страница №296 из 725: | ||
|
|
||
| Страница №297 из 725: | ||
|
|
||
| Страница №298 из 725: | ||
|
|
||
| Страница №299 из 725: | ||
|
|
||
| Страница №300 из 725: | ||
|
|
||
| Страница №301 из 725: | ||
|
|
||
| Страница №302 из 725: | ||
|
|
||
| Страница №303 из 725: | ||
|
|
||
| Страница №304 из 725: | ||
|
|
||
| Страница №305 из 725: | ||
|
|
||
| Страница №306 из 725: | ||
|
|
||
| Страница №307 из 725: | ||
|
|
||
| Страница №308 из 725: | ||
|
|
||
| Страница №309 из 725: | ||
|
|
||
| Страница №310 из 725: | ||
|
|
||
| Страница №311 из 725: | ||
|
|
||
| Страница №312 из 725: | ||
|
|
||
| Страница №313 из 725: | ||
|
|
||
| Страница №314 из 725: | ||
|
|
||
| Страница №315 из 725: | ||
|
|
||
| Страница №316 из 725: | ||
|
|
||
| Страница №317 из 725: | ||
|
|
||
| Страница №318 из 725: | ||
|
|
||
| Страница №319 из 725: | ||
|
|
||
| Страница №320 из 725: | ||
|
|
||
| Страница №321 из 725: | ||
|
|
||
| Страница №322 из 725: | ||
|
|
||
| Страница №323 из 725: | ||
|
|
||
| Страница №324 из 725: | ||
|
|
||
| Страница №325 из 725: | ||
|
|
||
| Страница №326 из 725: | ||
|
|
||
| Страница №327 из 725: | ||
|
|
||
| Страница №328 из 725: | ||
|
|
||
| Страница №329 из 725: | ||
|
|
||
| Страница №330 из 725: | ||
|
|
||
| Страница №331 из 725: | ||
|
|
||
| Страница №332 из 725: | ||
|
|
||
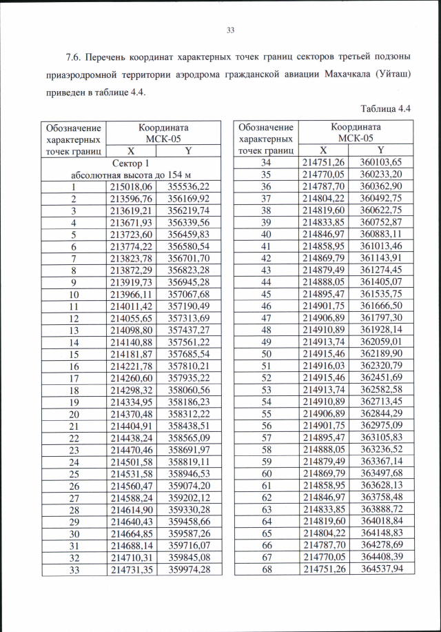
| Страница №333 из 725: | ||
|
|
||
| Страница №334 из 725: | ||
|
|
||
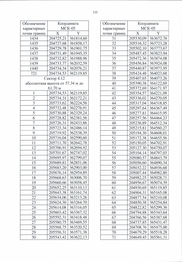
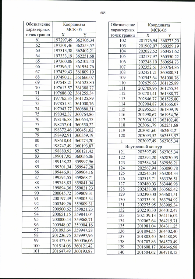
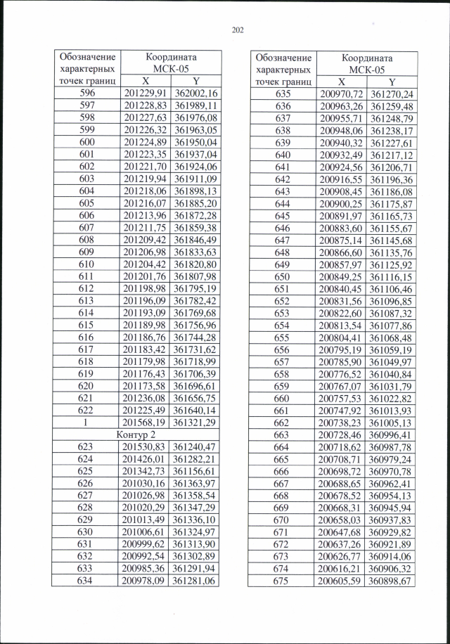
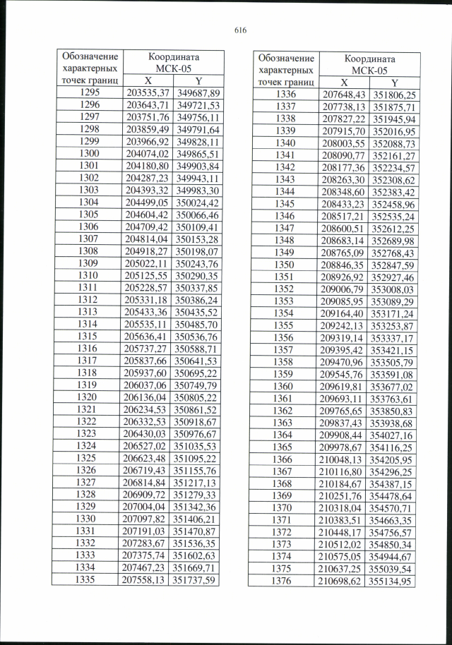
| Страница №335 из 725: | ||
|
|
||
| Страница №336 из 725: | ||
|
|
||
| Страница №337 из 725: | ||
|
|
||
| Страница №338 из 725: | ||
|
|
||
| Страница №339 из 725: | ||
|
|
||
| Страница №340 из 725: | ||
|
|
||
| Страница №341 из 725: | ||
|
|
||
| Страница №342 из 725: | ||
|
|
||
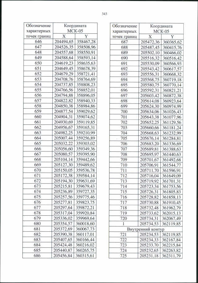
| Страница №343 из 725: | ||
|
|
||
| Страница №344 из 725: | ||
|
|
||
| Страница №345 из 725: | ||
|
|
||
| Страница №346 из 725: | ||
|
|
||
| Страница №347 из 725: | ||
|
|
||
| Страница №348 из 725: | ||
|
|
||
| Страница №349 из 725: | ||
|
|
||
| Страница №350 из 725: | ||
|
|
||
| Страница №351 из 725: | ||
|
|
||
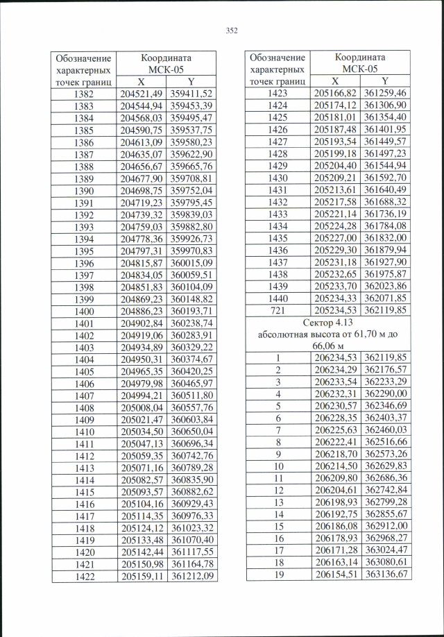
| Страница №352 из 725: | ||
|
|
||
| Страница №353 из 725: | ||
|
|
||
| Страница №354 из 725: | ||
|
|
||
| Страница №355 из 725: | ||
|
|
||
| Страница №356 из 725: | ||
|
|
||
| Страница №357 из 725: | ||
|
|
||
| Страница №358 из 725: | ||
|
|
||
| Страница №359 из 725: | ||
|
|
||
| Страница №360 из 725: | ||
|
|
||
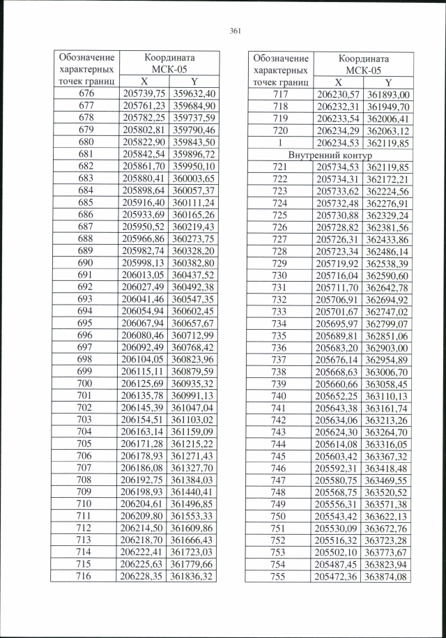
| Страница №361 из 725: | ||
|
|
||
| Страница №362 из 725: | ||
|
|
||
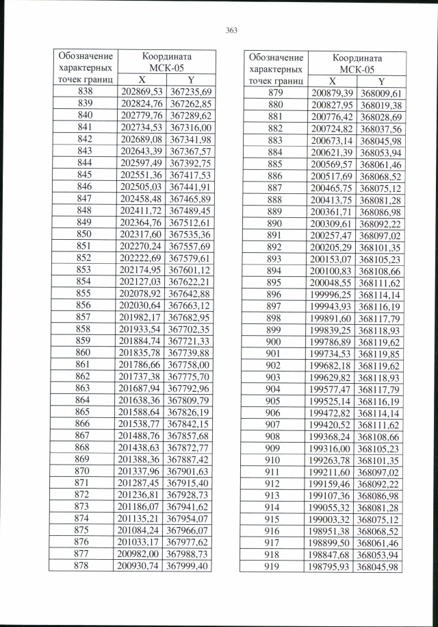
| Страница №363 из 725: | ||
|
|
||
| Страница №364 из 725: | ||
|
|
||
| Страница №365 из 725: | ||
|
|
||
| Страница №366 из 725: | ||
|
|
||
| Страница №367 из 725: | ||
|
|
||
| Страница №368 из 725: | ||
|
|
||
| Страница №369 из 725: | ||
|
|
||
| Страница №370 из 725: | ||
|
|
||
| Страница №371 из 725: | ||
|
|
||
| Страница №372 из 725: | ||
|
|
||
| Страница №373 из 725: | ||
|
|
||
| Страница №374 из 725: | ||
|
|
||
| Страница №375 из 725: | ||
|
|
||
| Страница №376 из 725: | ||
|
|
||
| Страница №377 из 725: | ||
|
|
||
| Страница №378 из 725: | ||
|
|
||
| Страница №379 из 725: | ||
|
|
||
| Страница №380 из 725: | ||
|
|
||
| Страница №381 из 725: | ||
|
|
||
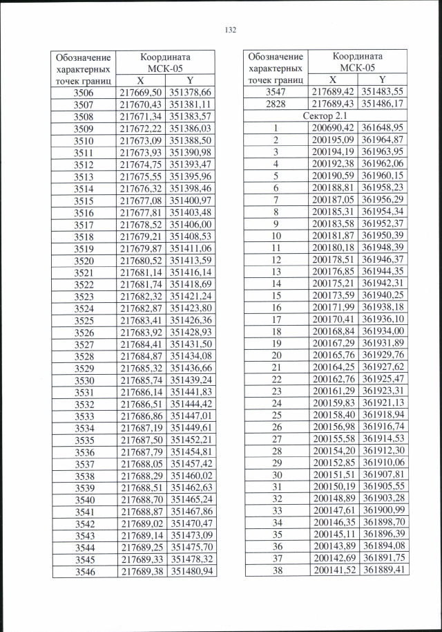
| Страница №382 из 725: | ||
|
|
||
| Страница №383 из 725: | ||
|
|
||
| Страница №384 из 725: | ||
|
|
||
| Страница №385 из 725: | ||
|
|
||
| Страница №386 из 725: | ||
|
|
||
| Страница №387 из 725: | ||
|
|
||
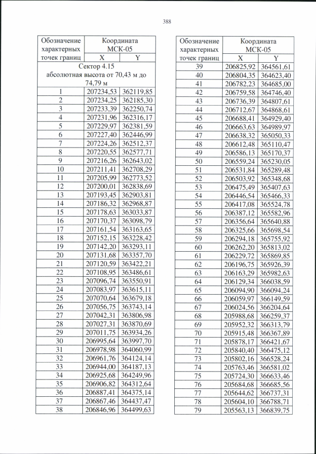
| Страница №388 из 725: | ||
|
|
||
| Страница №389 из 725: | ||
|
|
||
| Страница №390 из 725: | ||
|
|
||
| Страница №391 из 725: | ||
|
|
||
| Страница №392 из 725: | ||
|
|
||
| Страница №393 из 725: | ||
|
|
||
| Страница №394 из 725: | ||
|
|
||
| Страница №395 из 725: | ||
|
|
||
| Страница №396 из 725: | ||
|
|
||
| Страница №397 из 725: | ||
|
|
||
| Страница №398 из 725: | ||
|
|
||
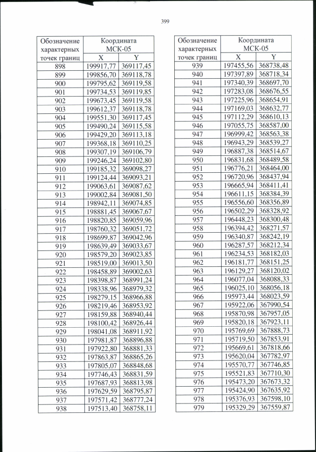
| Страница №399 из 725: | ||
|
|
||
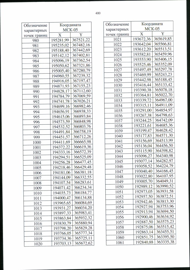
| Страница №400 из 725: | ||
|
|
||
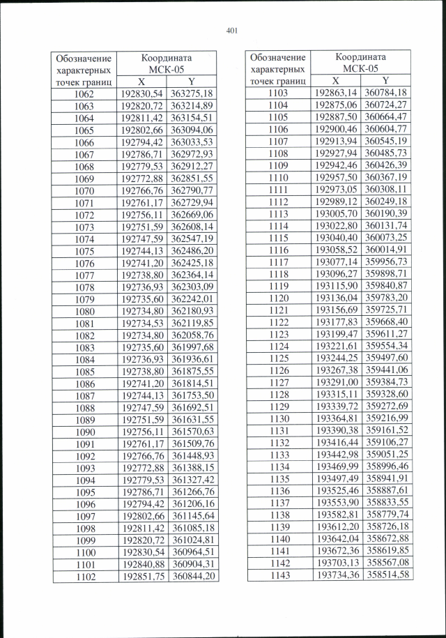
| Страница №401 из 725: | ||
|
|
||
| Страница №402 из 725: | ||
|
|
||
| Страница №403 из 725: | ||
|
|
||
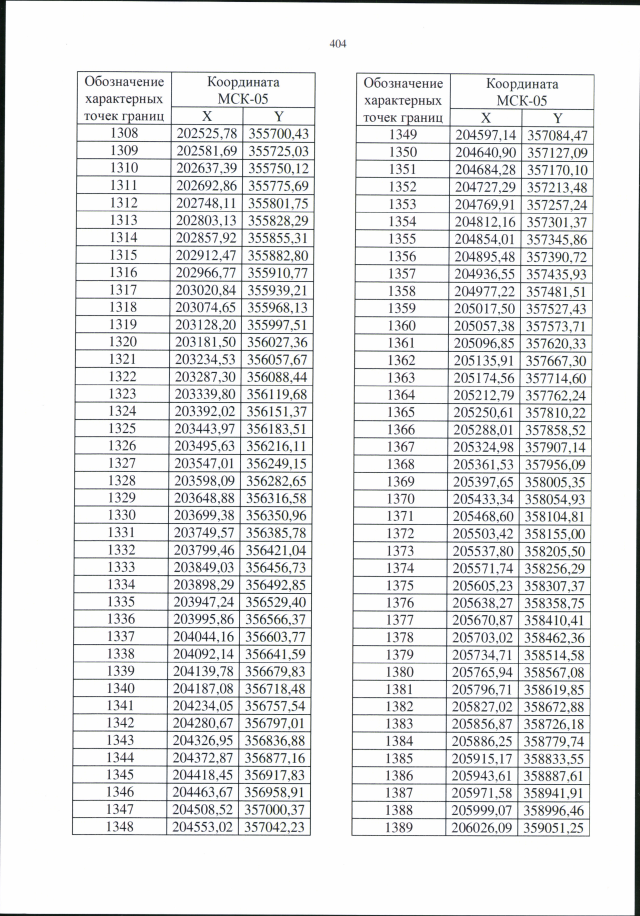
| Страница №404 из 725: | ||
|
|
||
| Страница №405 из 725: | ||
|
|
||
| Страница №406 из 725: | ||
|
|
||
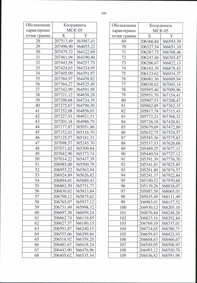
| Страница №407 из 725: | ||
|
|
||
| Страница №408 из 725: | ||
|
|
||
| Страница №409 из 725: | ||
|
|
||
| Страница №410 из 725: | ||
|
|
||
| Страница №411 из 725: | ||
|
|
||
| Страница №412 из 725: | ||
|
|
||
| Страница №413 из 725: | ||
|
|
||
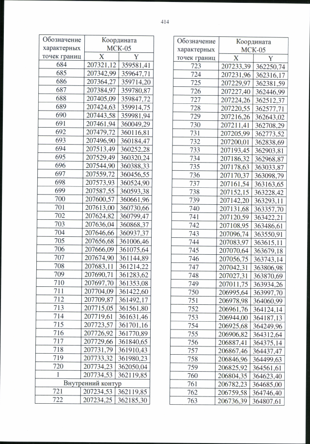
| Страница №414 из 725: | ||
|
|
||
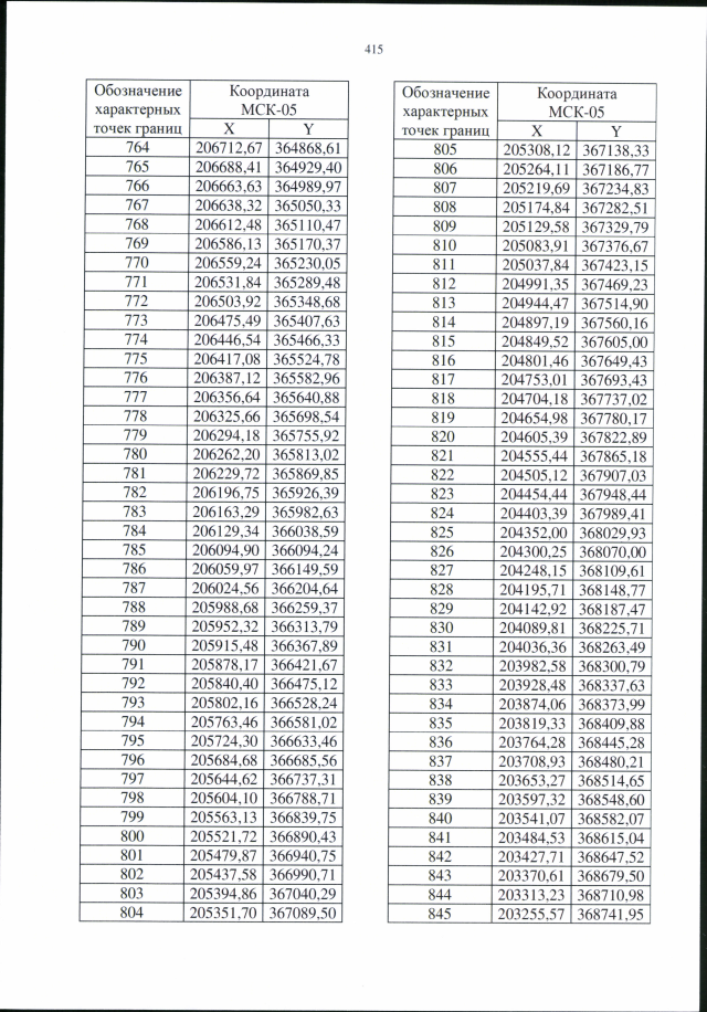
| Страница №415 из 725: | ||
|
|
||
| Страница №416 из 725: | ||
|
|
||
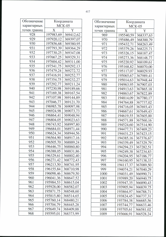
| Страница №417 из 725: | ||
|
|
||
| Страница №418 из 725: | ||
|
|
||
| Страница №419 из 725: | ||
|
|
||
| Страница №420 из 725: | ||
|
|
||
| Страница №421 из 725: | ||
|
|
||
| Страница №422 из 725: | ||
|
|
||
| Страница №423 из 725: | ||
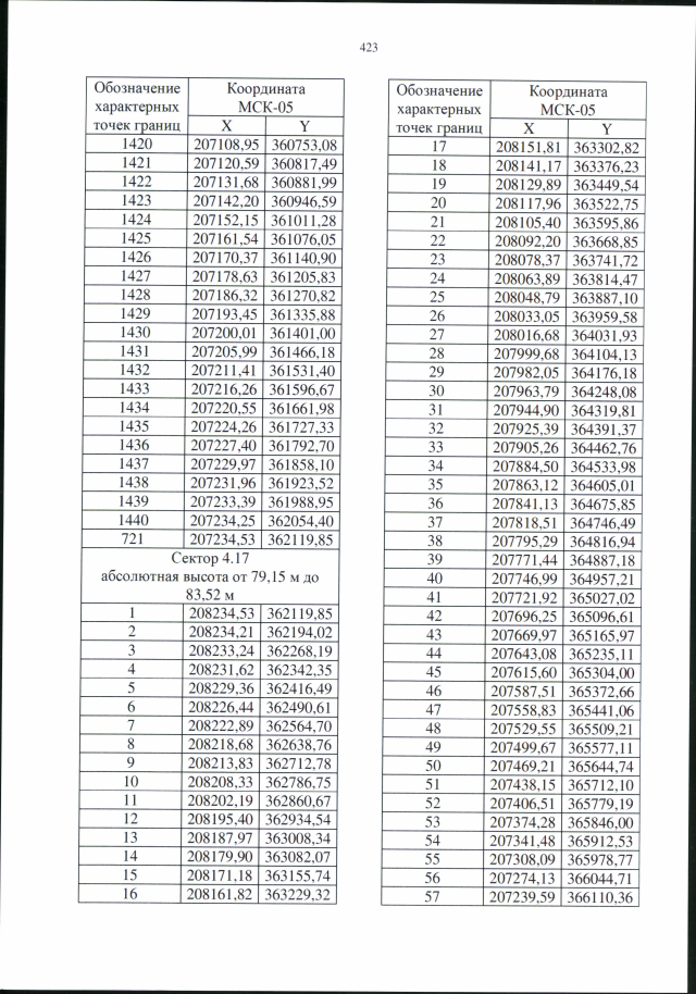
|
|
||
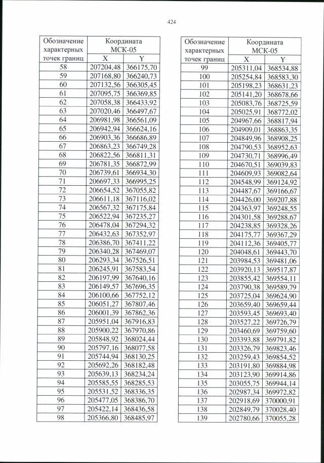
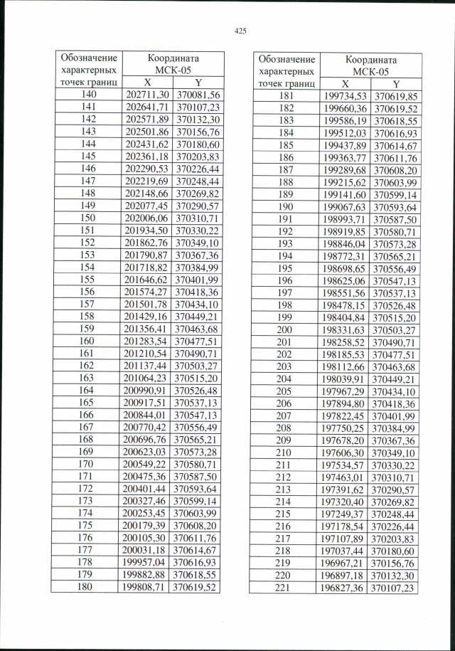
| Страница №424 из 725: | ||
|
|
||
| Страница №425 из 725: | ||
|
|
||
| Страница №426 из 725: | ||
|
|
||
| Страница №427 из 725: | ||
|
|
||
| Страница №428 из 725: | ||
|
|
||
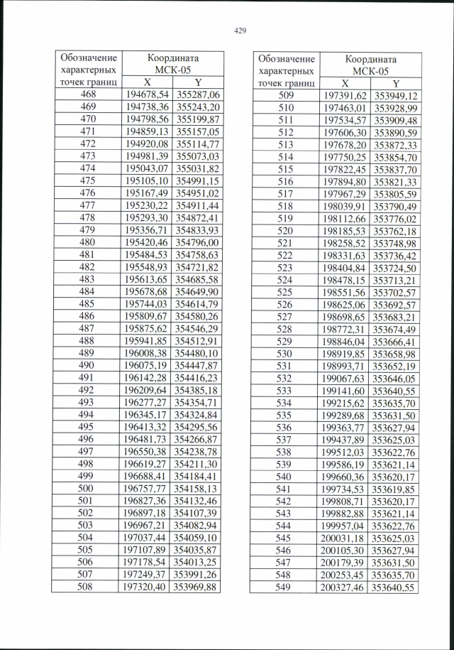
| Страница №429 из 725: | ||
|
|
||
| Страница №430 из 725: | ||
|
|
||
| Страница №431 из 725: | ||
|
|
||
| Страница №432 из 725: | ||
|
|
||
| Страница №433 из 725: | ||
|
|
||
| Страница №434 из 725: | ||
|
|
||
| Страница №435 из 725: | ||
|
|
||
| Страница №436 из 725: | ||
|
|
||
| Страница №437 из 725: | ||
|
|
||
| Страница №438 из 725: | ||
|
|
||
| Страница №439 из 725: | ||
|
|
||
| Страница №440 из 725: | ||
|
|
||
| Страница №441 из 725: | ||
|
|
||
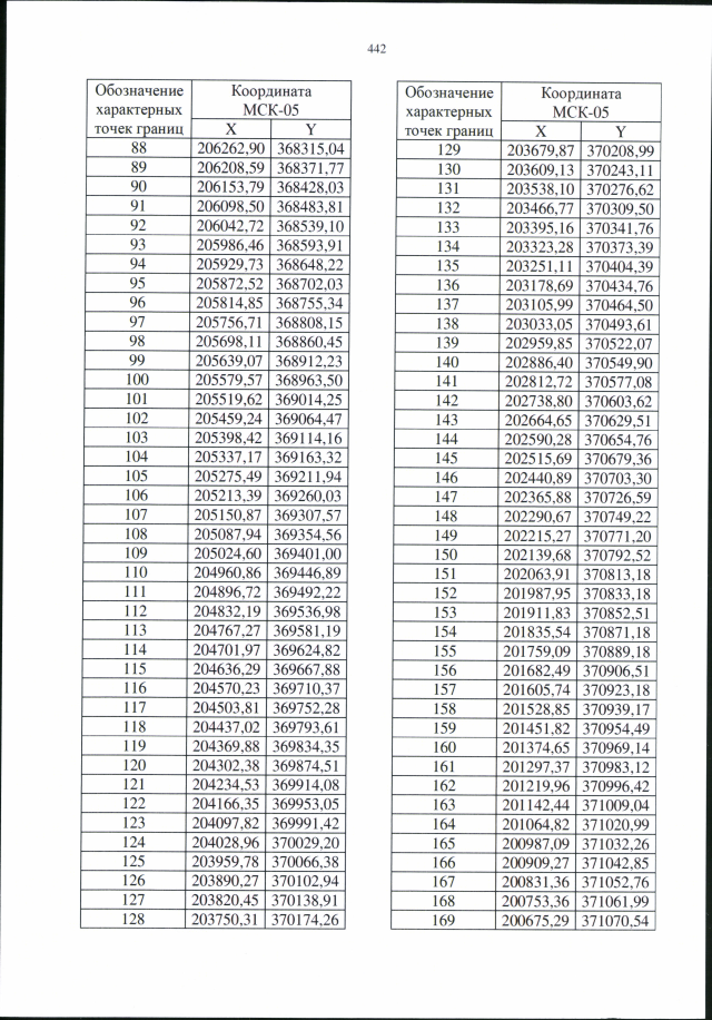
| Страница №442 из 725: | ||
|
|
||
| Страница №443 из 725: | ||
|
|
||
| Страница №444 из 725: | ||
|
|
||
| Страница №445 из 725: | ||
|
|
||
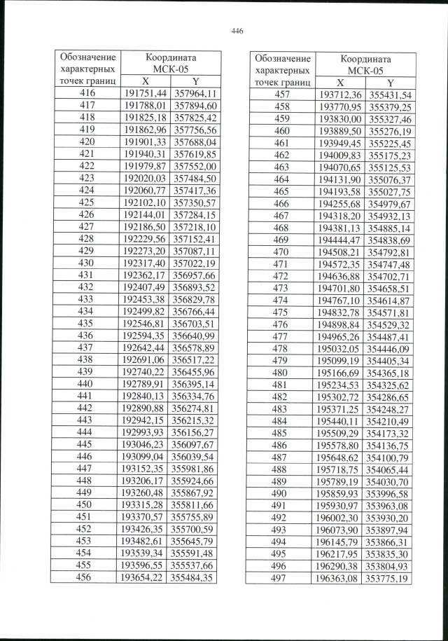
| Страница №446 из 725: | ||
|
|
||
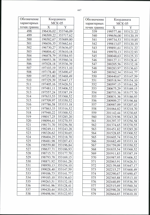
| Страница №447 из 725: | ||
|
|
||
| Страница №448 из 725: | ||
|
|
||
| Страница №449 из 725: | ||
|
|
||
| Страница №450 из 725: | ||
|
|
||
| Страница №451 из 725: | ||
|
|
||
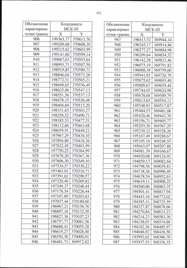
| Страница №452 из 725: | ||
|
|
||
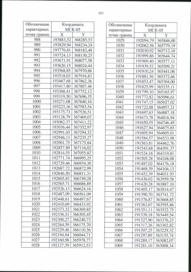
| Страница №453 из 725: | ||
|
|
||
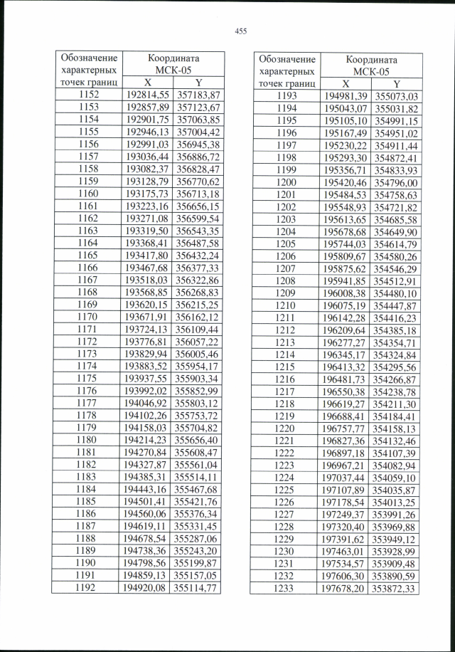
| Страница №454 из 725: | ||
|
|
||
| Страница №455 из 725: | ||
|
|
||
| Страница №456 из 725: | ||
|
|
||
| Страница №457 из 725: | ||
|
|
||
| Страница №458 из 725: | ||
|
|
||
| Страница №459 из 725: | ||
|
|
||
| Страница №460 из 725: | ||
|
|
||
| Страница №461 из 725: | ||
|
|
||
| Страница №462 из 725: | ||
|
|
||
| Страница №463 из 725: | ||
|
|
||
| Страница №464 из 725: | ||
|
|
||
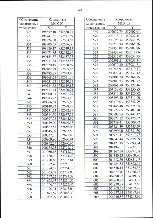
| Страница №465 из 725: | ||
|
|
||
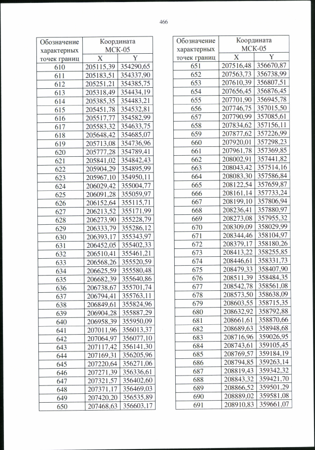
| Страница №466 из 725: | ||
|
|
||
| Страница №467 из 725: | ||
|
|
||
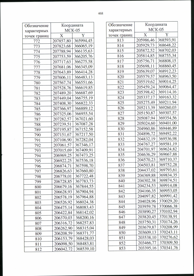
| Страница №468 из 725: | ||
|
|
||
| Страница №469 из 725: | ||
|
|
||
| Страница №470 из 725: | ||
|
|
||
| Страница №471 из 725: | ||
|
|
||
| Страница №472 из 725: | ||
|
|
||
| Страница №473 из 725: | ||
|
|
||
| Страница №474 из 725: | ||
|
|
||
| Страница №475 из 725: | ||
|
|
||
| Страница №476 из 725: | ||
|
|
||
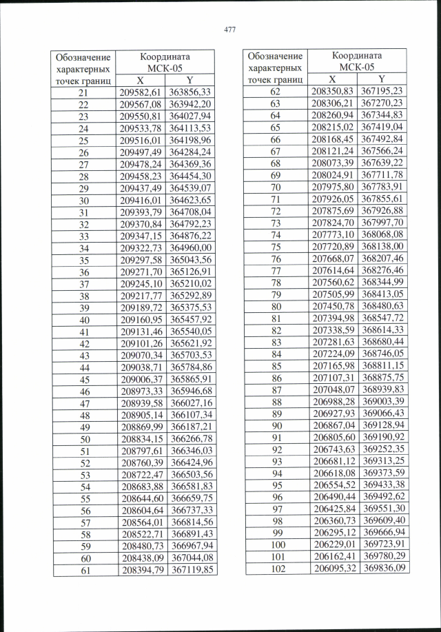
| Страница №477 из 725: | ||
|
|
||
| Страница №478 из 725: | ||
|
|
||
| Страница №479 из 725: | ||
|
|
||
| Страница №480 из 725: | ||
|
|
||
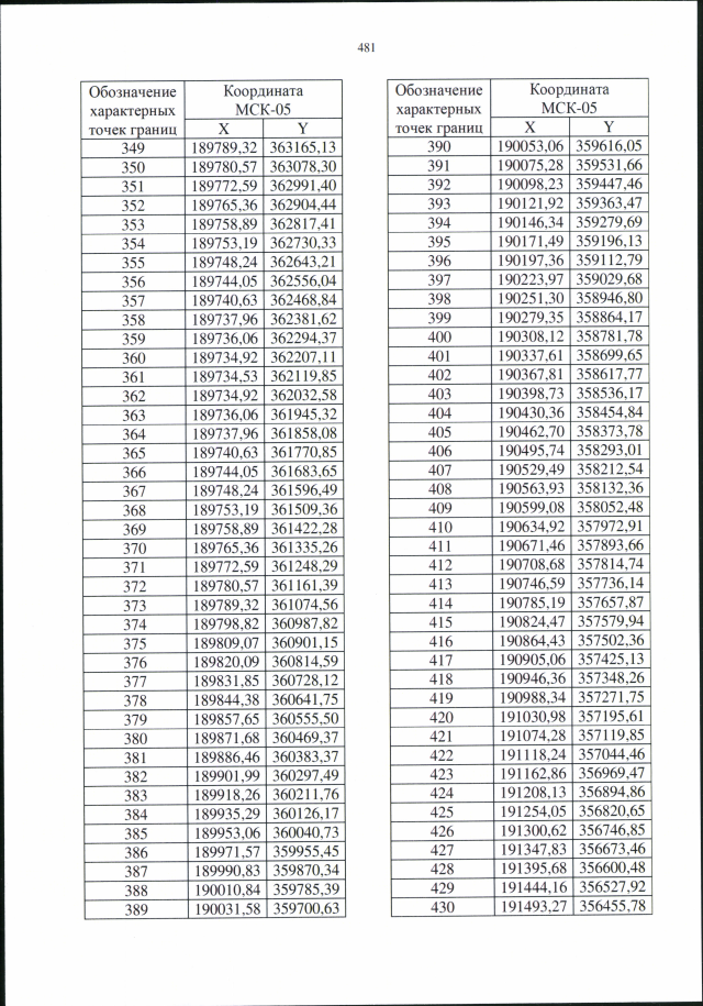
| Страница №481 из 725: | ||
|
|
||
| Страница №482 из 725: | ||
|
|
||
| Страница №483 из 725: | ||
|
|
||
| Страница №484 из 725: | ||
|
|
||
| Страница №485 из 725: | ||
|
|
||
| Страница №486 из 725: | ||
|
|
||
| Страница №487 из 725: | ||
|
|
||
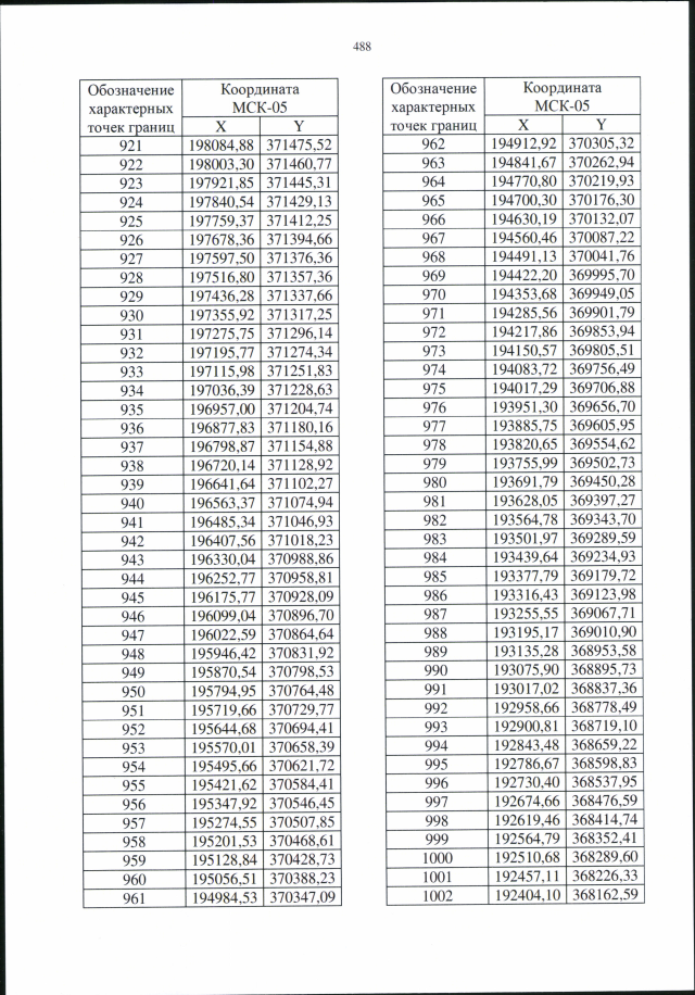
| Страница №488 из 725: | ||
|
|
||
| Страница №489 из 725: | ||
|
|
||
| Страница №490 из 725: | ||
|
|
||
| Страница №491 из 725: | ||
|
|
||
| Страница №492 из 725: | ||
|
|
||
| Страница №493 из 725: | ||
|
|
||
| Страница №494 из 725: | ||
|
|
||
| Страница №495 из 725: | ||
|
|
||
| Страница №496 из 725: | ||
|
|
||
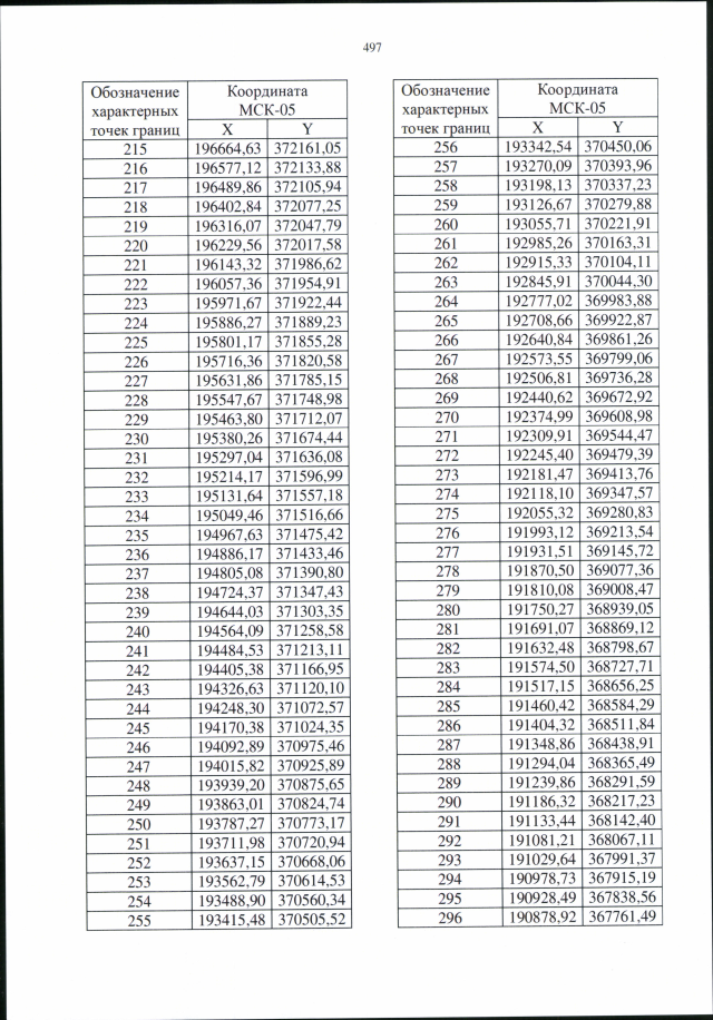
| Страница №497 из 725: | ||
|
|
||
| Страница №498 из 725: | ||
|
|
||
| Страница №499 из 725: | ||
|
|
||
| Страница №500 из 725: | ||
|
|
||
| Страница №501 из 725: | ||
|
|
||
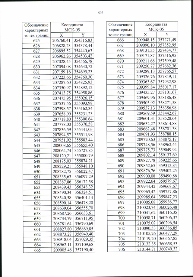
| Страница №502 из 725: | ||
|
|
||
| Страница №503 из 725: | ||
|
|
||
| Страница №504 из 725: | ||
|
|
||
| Страница №505 из 725: | ||
|
|
||
| Страница №506 из 725: | ||
|
|
||
| Страница №507 из 725: | ||
|
|
||
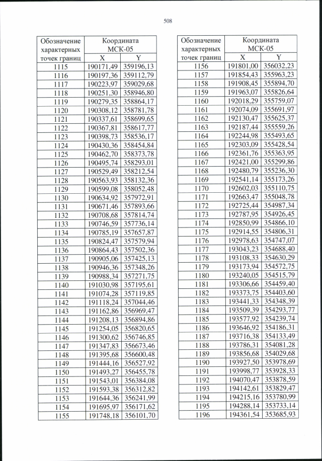
| Страница №508 из 725: | ||
|
|
||
| Страница №509 из 725: | ||
|
|
||
| Страница №510 из 725: | ||
|
|
||
| Страница №511 из 725: | ||
|
|
||
| Страница №512 из 725: | ||
|
|
||
| Страница №513 из 725: | ||
|
|
||
| Страница №514 из 725: | ||
|
|
||
| Страница №515 из 725: | ||
|
|
||
| Страница №516 из 725: | ||
|
|
||
| Страница №517 из 725: | ||
|
|
||
| Страница №518 из 725: | ||
|
|
||
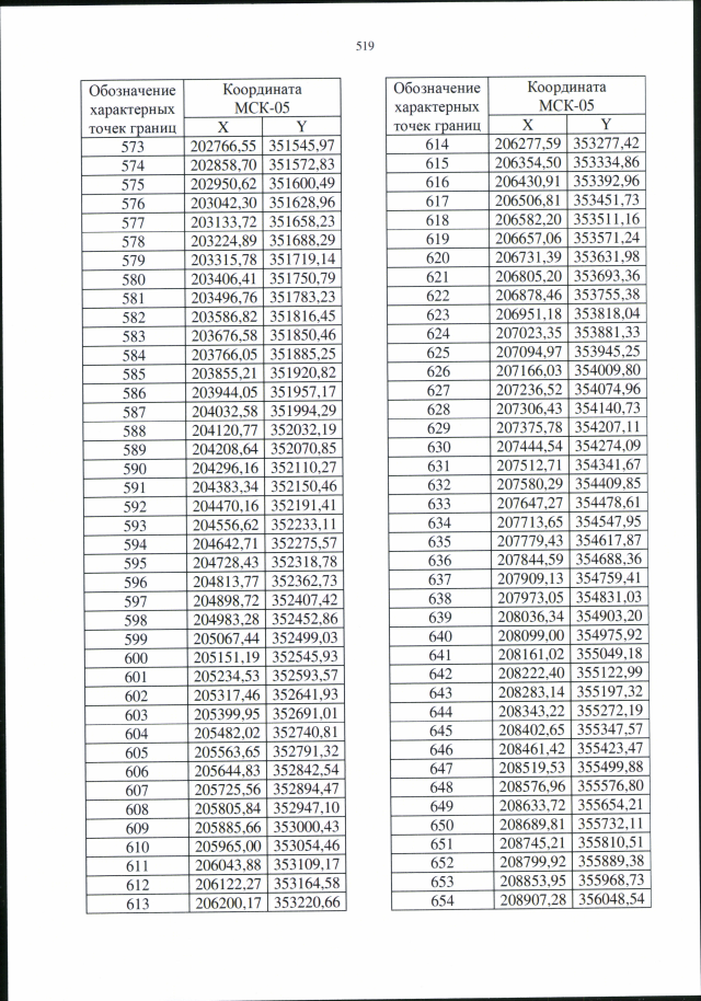
| Страница №519 из 725: | ||
|
|
||
| Страница №520 из 725: | ||
|
|
||
| Страница №521 из 725: | ||
|
|
||
| Страница №522 из 725: | ||
|
|
||
| Страница №523 из 725: | ||
|
|
||
| Страница №524 из 725: | ||
|
|
||
| Страница №525 из 725: | ||
|
|
||
| Страница №526 из 725: | ||
|
|
||
| Страница №527 из 725: | ||
|
|
||
| Страница №528 из 725: | ||
|
|
||
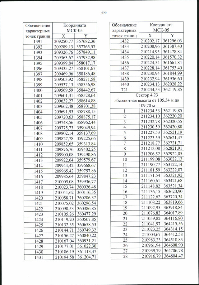
| Страница №529 из 725: | ||
|
|
||
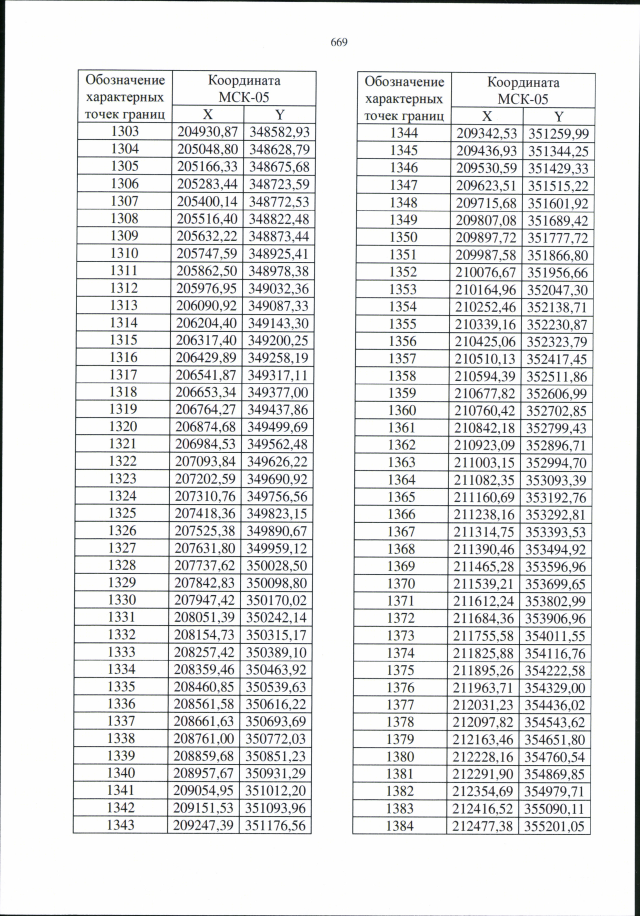
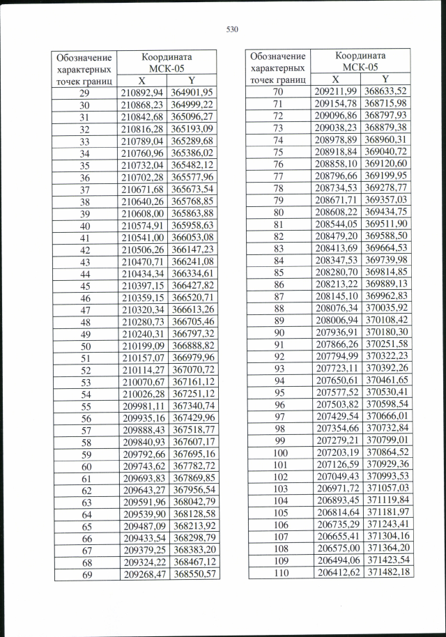
| Страница №530 из 725: | ||
|
|
||
| Страница №531 из 725: | ||
|
|
||
| Страница №532 из 725: | ||
|
|
||
| Страница №533 из 725: | ||
|
|
||
| Страница №534 из 725: | ||
|
|
||
| Страница №535 из 725: | ||
|
|
||
| Страница №536 из 725: | ||
|
|
||
| Страница №537 из 725: | ||
|
|
||
| Страница №538 из 725: | ||
|
|
||
| Страница №539 из 725: | ||
|
|
||
| Страница №540 из 725: | ||
|
|
||
| Страница №541 из 725: | ||
|
|
||
| Страница №542 из 725: | ||
|
|
||
| Страница №543 из 725: | ||
|
|
||
| Страница №544 из 725: | ||
|
|
||
| Страница №545 из 725: | ||
|
|
||
| Страница №546 из 725: | ||
|
|
||
| Страница №547 из 725: | ||
|
|
||
| Страница №548 из 725: | ||
|
|
||
| Страница №549 из 725: | ||
|
|
||
| Страница №550 из 725: | ||
|
|
||
| Страница №551 из 725: | ||
|
|
||
| Страница №552 из 725: | ||
|
|
||
| Страница №553 из 725: | ||
|
|
||
| Страница №554 из 725: | ||
|
|
||
| Страница №555 из 725: | ||
|
|
||
| Страница №556 из 725: | ||
|
|
||
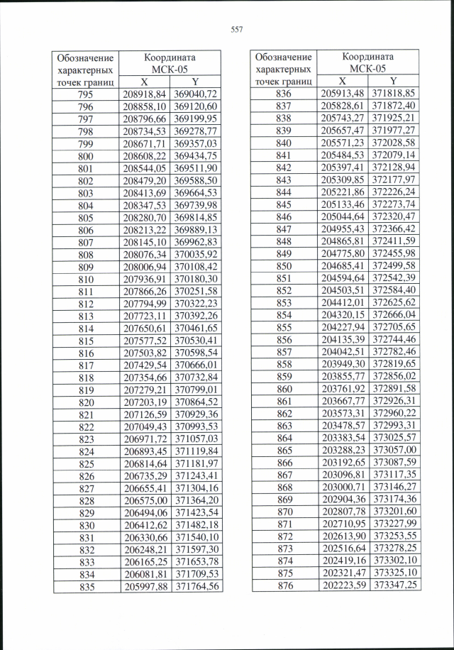
| Страница №557 из 725: | ||
|
|
||
| Страница №558 из 725: | ||
|
|
||
| Страница №559 из 725: | ||
|
|
||
| Страница №560 из 725: | ||
|
|
||
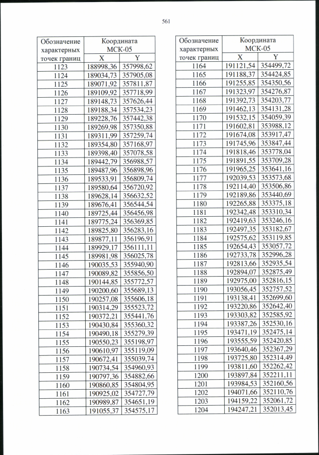
| Страница №561 из 725: | ||
|
|
||
| Страница №562 из 725: | ||
|
|
||
| Страница №563 из 725: | ||
|
|
||
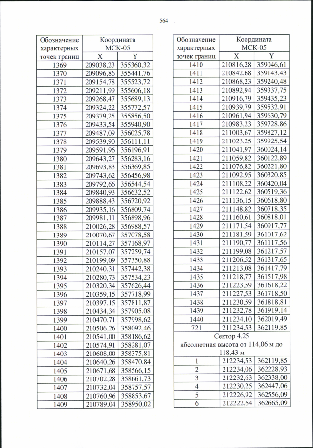
| Страница №564 из 725: | ||
|
|
||
| Страница №565 из 725: | ||
|
|
||
| Страница №566 из 725: | ||
|
|
||
| Страница №567 из 725: | ||
|
|
||
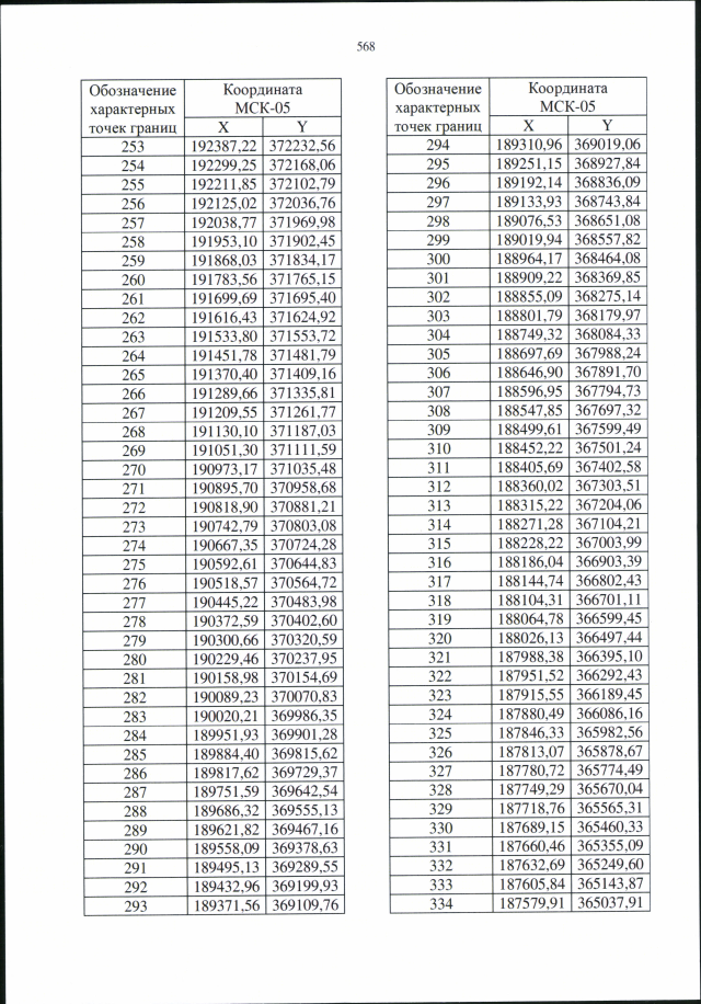
| Страница №568 из 725: | ||
|
|
||
| Страница №569 из 725: | ||
|
|
||
| Страница №570 из 725: | ||
|
|
||
| Страница №571 из 725: | ||
|
|
||
| Страница №572 из 725: | ||
|
|
||
| Страница №573 из 725: | ||
|
|
||
| Страница №574 из 725: | ||
|
|
||
| Страница №575 из 725: | ||
|
|
||
| Страница №576 из 725: | ||
|
|
||
| Страница №577 из 725: | ||
|
|
||
| Страница №578 из 725: | ||
|
|
||
| Страница №579 из 725: | ||
|
|
||
| Страница №580 из 725: | ||
|
|
||
| Страница №581 из 725: | ||
|
|
||
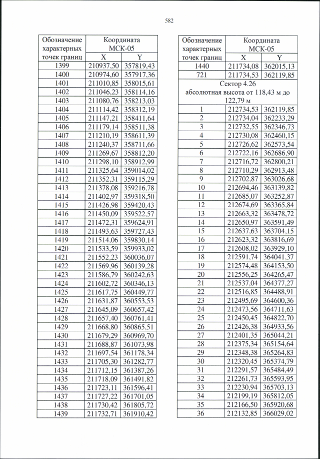
| Страница №582 из 725: | ||
|
|
||
| Страница №583 из 725: | ||
|
|
||
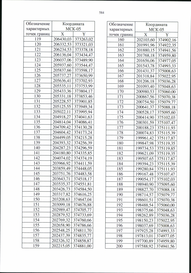
| Страница №584 из 725: | ||
|
|
||
| Страница №585 из 725: | ||
|
|
||
| Страница №586 из 725: | ||
|
|
||
| Страница №587 из 725: | ||
|
|
||
| Страница №588 из 725: | ||
|
|
||
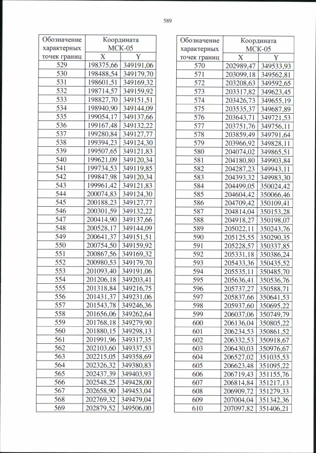
| Страница №589 из 725: | ||
|
|
||
| Страница №590 из 725: | ||
|
|
||
| Страница №591 из 725: | ||
|
|
||
| Страница №592 из 725: | ||
|
|
||
| Страница №593 из 725: | ||
|
|
||
| Страница №594 из 725: | ||
|
|
||
| Страница №595 из 725: | ||
|
|
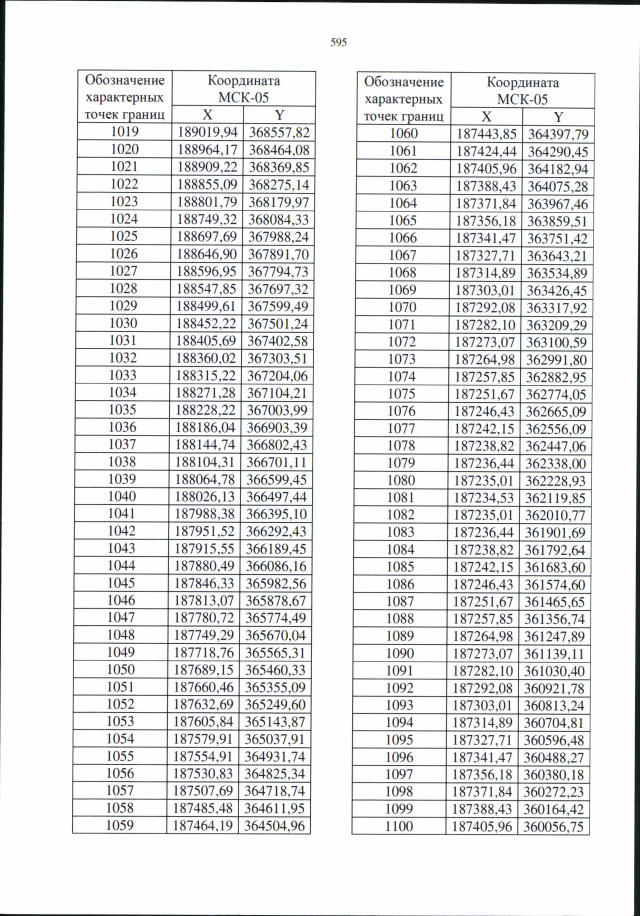
||
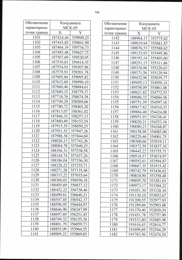
| Страница №596 из 725: | ||
|
|
||
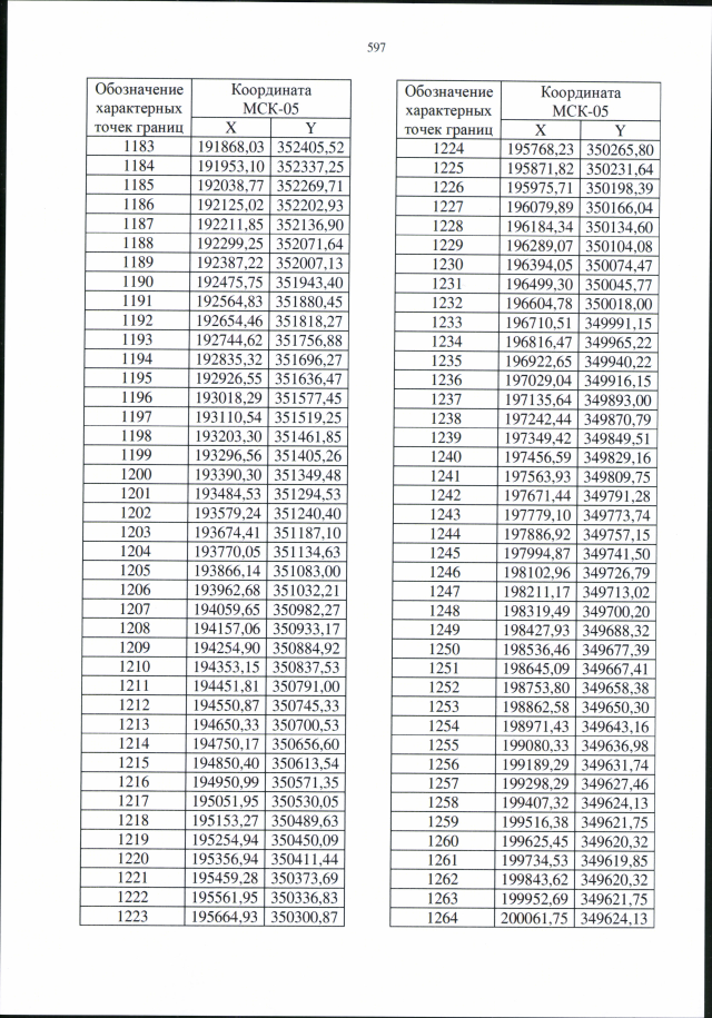
| Страница №597 из 725: | ||
|
|
||
| Страница №598 из 725: | ||
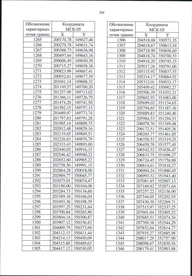
|
|
||
| Страница №599 из 725: | ||
|
|
||
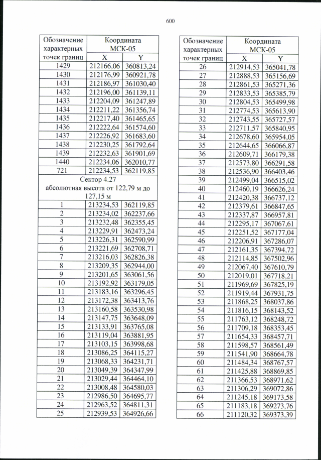
| Страница №600 из 725: | ||
|
|
||
| Страница №601 из 725: | ||
|
|
||
| Страница №602 из 725: | ||
|
|
||
| Страница №603 из 725: | ||
|
|
||
| Страница №604 из 725: | ||
|
|
||
| Страница №605 из 725: | ||
|
|
||
| Страница №606 из 725: | ||
|
|
||
| Страница №607 из 725: | ||
|
|
||
| Страница №608 из 725: | ||
|
|
||
| Страница №609 из 725: | ||
|
|
||
| Страница №610 из 725: | ||
|
|
||
| Страница №611 из 725: | ||
|
|
||
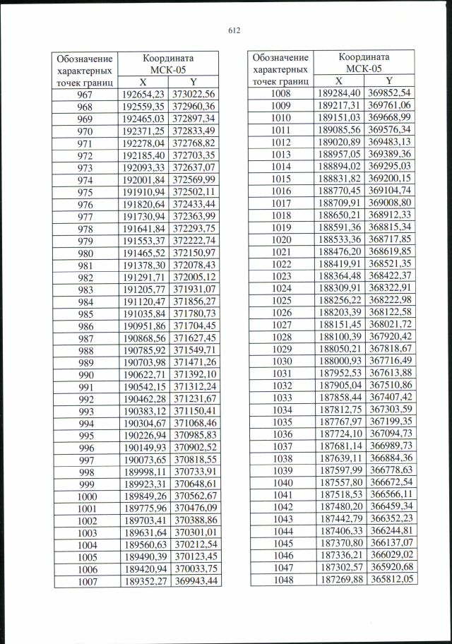
| Страница №612 из 725: | ||
|
|
||
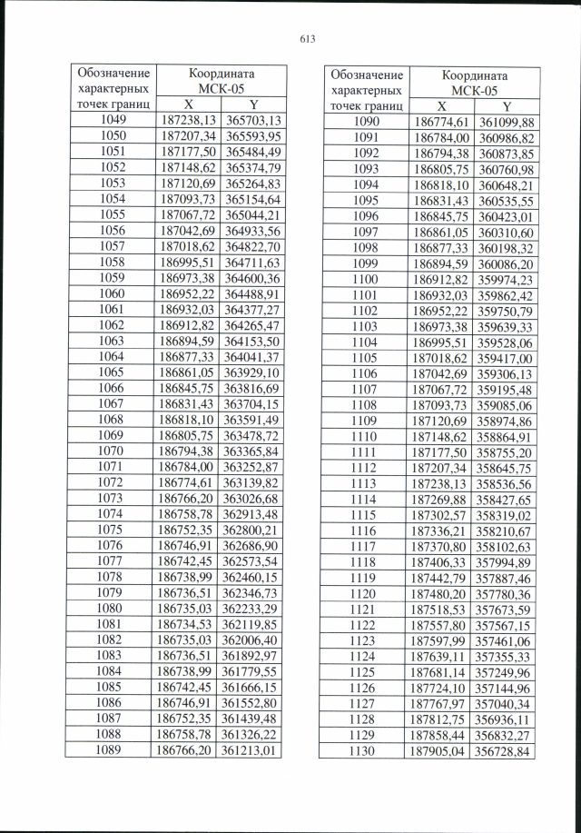
| Страница №613 из 725: | ||
|
|
||
| Страница №614 из 725: | ||
|
|
||
| Страница №615 из 725: | ||
|
|
||
| Страница №616 из 725: | ||
|
|
||
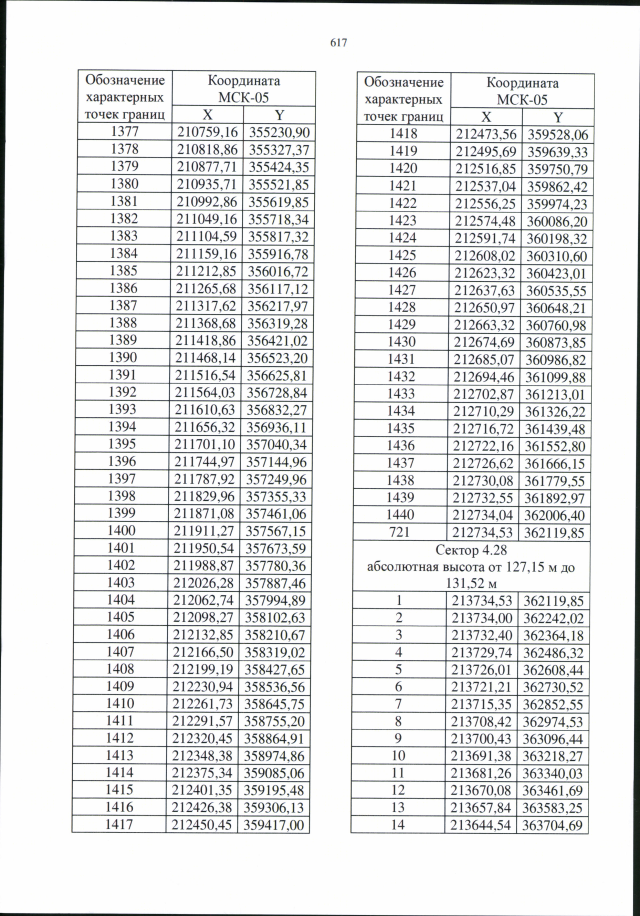
| Страница №617 из 725: | ||
|
|
||
| Страница №618 из 725: | ||
|
|
||
| Страница №619 из 725: | ||
|
|
||
| Страница №620 из 725: | ||
|
|
||
| Страница №621 из 725: | ||
|
|
||
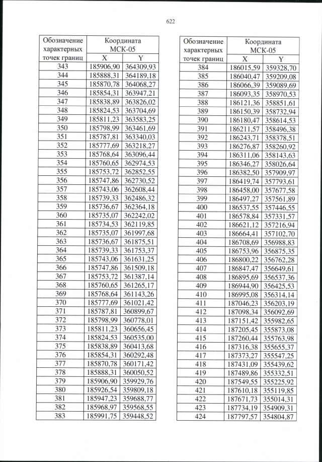
| Страница №622 из 725: | ||
|
|
||
| Страница №623 из 725: | ||
|
|
||
| Страница №624 из 725: | ||
|
|
||
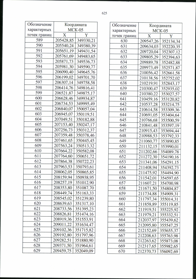
| Страница №625 из 725: | ||
|
|
||
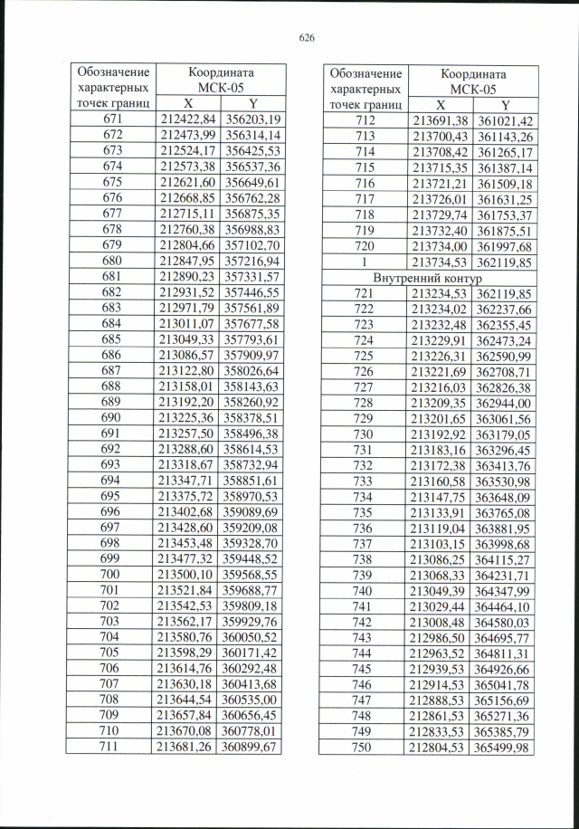
| Страница №626 из 725: | ||
|
|
||
| Страница №627 из 725: | ||
|
|
||
| Страница №628 из 725: | ||
|
|
||
| Страница №629 из 725: | ||
|
|
||
| Страница №630 из 725: | ||
|
|
||
| Страница №631 из 725: | ||
|
|
||
| Страница №632 из 725: | ||
|
|
||
| Страница №633 из 725: | ||
|
|
||
| Страница №634 из 725: | ||
|
|
||
| Страница №635 из 725: | ||
|
|
||
| Страница №636 из 725: | ||
|
|
||
| Страница №637 из 725: | ||
|
|
||
| Страница №638 из 725: | ||
|
|
||
| Страница №639 из 725: | ||
|
|
||
| Страница №640 из 725: | ||
|
|
||
| Страница №641 из 725: | ||
|
|
||
| Страница №642 из 725: | ||
|
|
||
| Страница №643 из 725: | ||
|
|
||
| Страница №644 из 725: | ||
|
|
||
| Страница №645 из 725: | ||
|
|
||
| Страница №646 из 725: | ||
|
|
||
| Страница №647 из 725: | ||
|
|
||
| Страница №648 из 725: | ||
|
|
||
| Страница №649 из 725: | ||
|
|
||
| Страница №650 из 725: | ||
|
|
||
| Страница №651 из 725: | ||
|
|
||
| Страница №652 из 725: | ||
|
|
||
| Страница №653 из 725: | ||
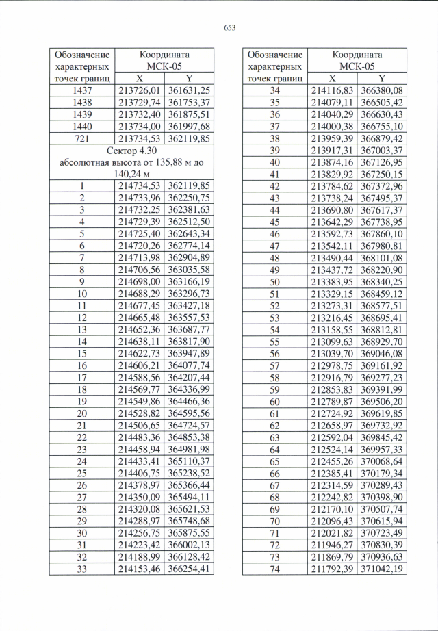
|
|
||
| Страница №654 из 725: | ||
|
|
||
| Страница №655 из 725: | ||
|
|
||
| Страница №656 из 725: | ||
|
|
||
| Страница №657 из 725: | ||
|
|
||
| Страница №658 из 725: | ||
|
|
||
| Страница №659 из 725: | ||
|
|
||
| Страница №660 из 725: | ||
|
|
||
| Страница №661 из 725: | ||
|
|
||
| Страница №662 из 725: | ||
|
|
||
| Страница №663 из 725: | ||
|
|
||
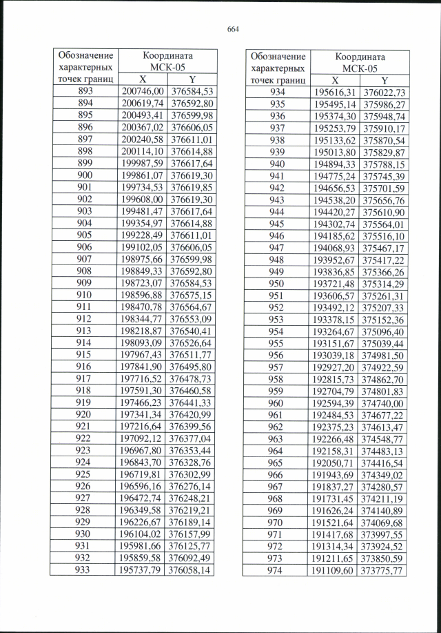
| Страница №664 из 725: | ||
|
|
||
| Страница №665 из 725: | ||
|
|
||
| Страница №666 из 725: | ||
|
|
||
| Страница №667 из 725: | ||
|
|
||
| Страница №668 из 725: | ||
|
|
||
| Страница №669 из 725: | ||
|
|
||
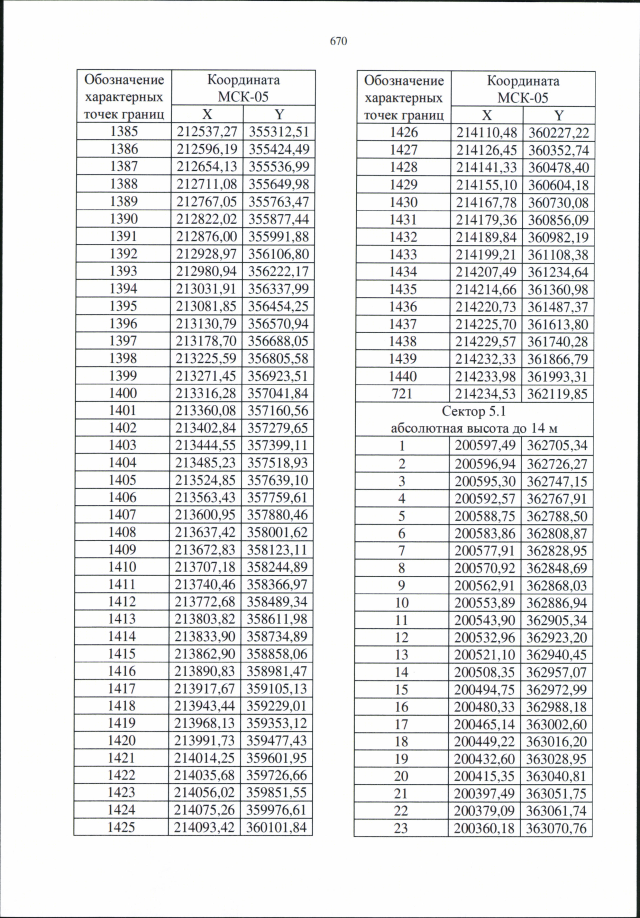
| Страница №670 из 725: | ||
|
|
||
| Страница №671 из 725: | ||
|
|
||
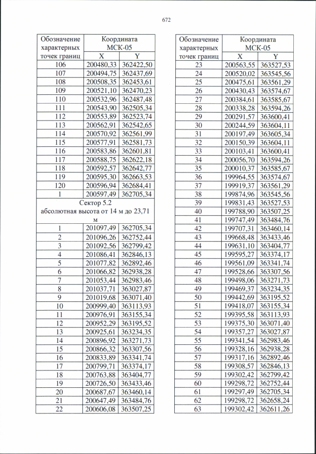
| Страница №672 из 725: | ||
|
|
||
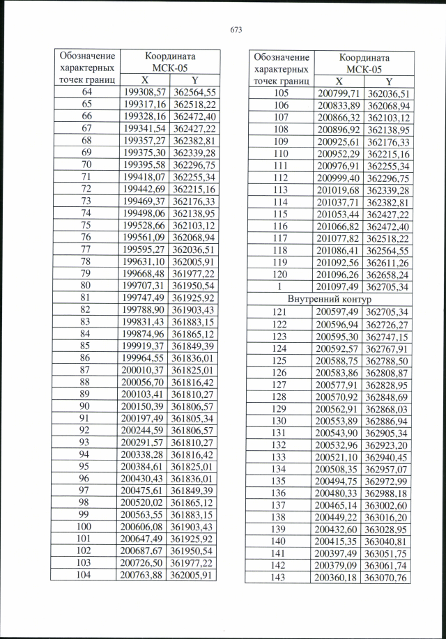
| Страница №673 из 725: | ||
|
|
||
| Страница №674 из 725: | ||
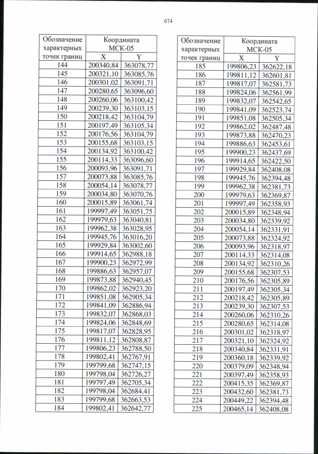
|
|
||
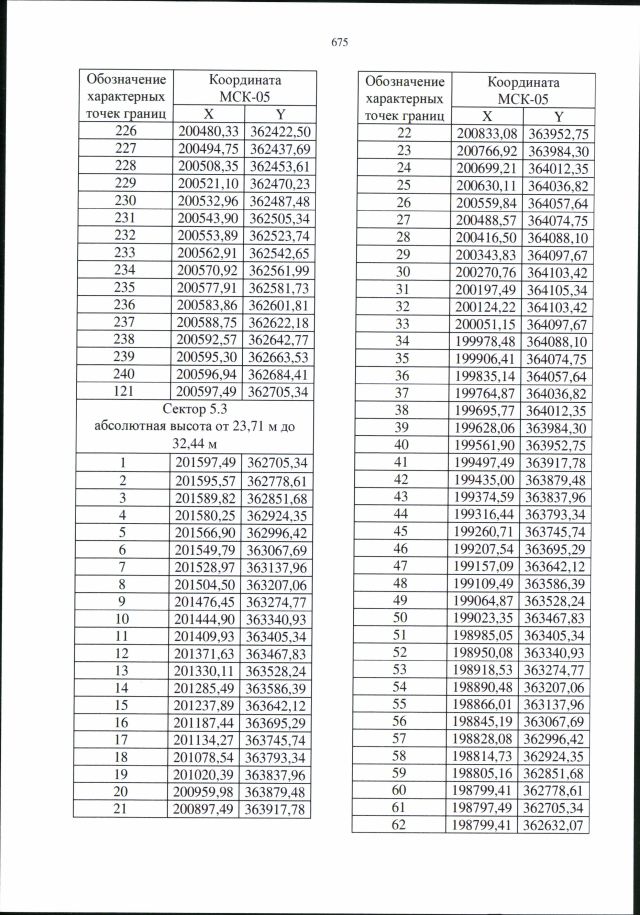
| Страница №675 из 725: | ||
|
|
||
| Страница №676 из 725: | ||
|
|
||
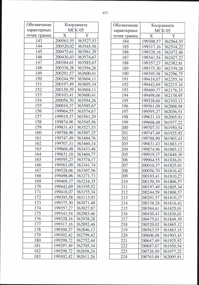
| Страница №677 из 725: | ||
|
|
||
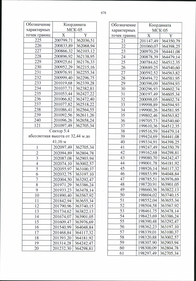
| Страница №678 из 725: | ||
|
|
||
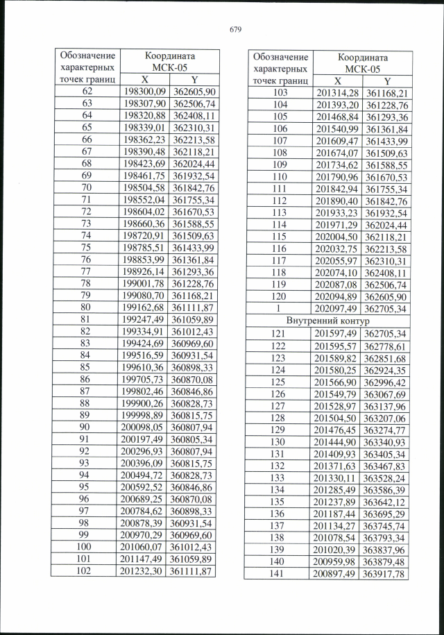
| Страница №679 из 725: | ||
|
|
||
| Страница №680 из 725: | ||
|
|
||
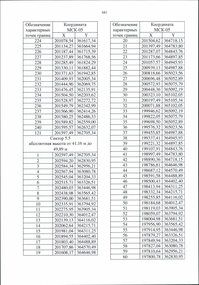
| Страница №681 из 725: | ||
|
|
||
| Страница №682 из 725: | ||
|
|
||
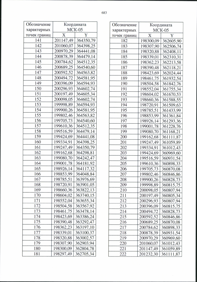
| Страница №683 из 725: | ||
|
|
||
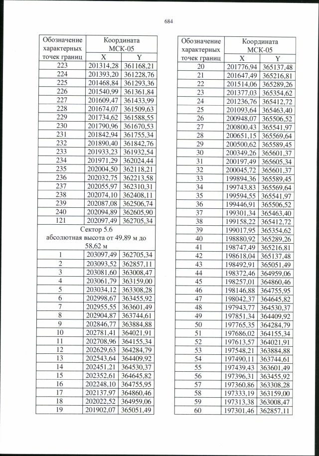
| Страница №684 из 725: | ||
|
|
||
| Страница №685 из 725: | ||
|
|
||
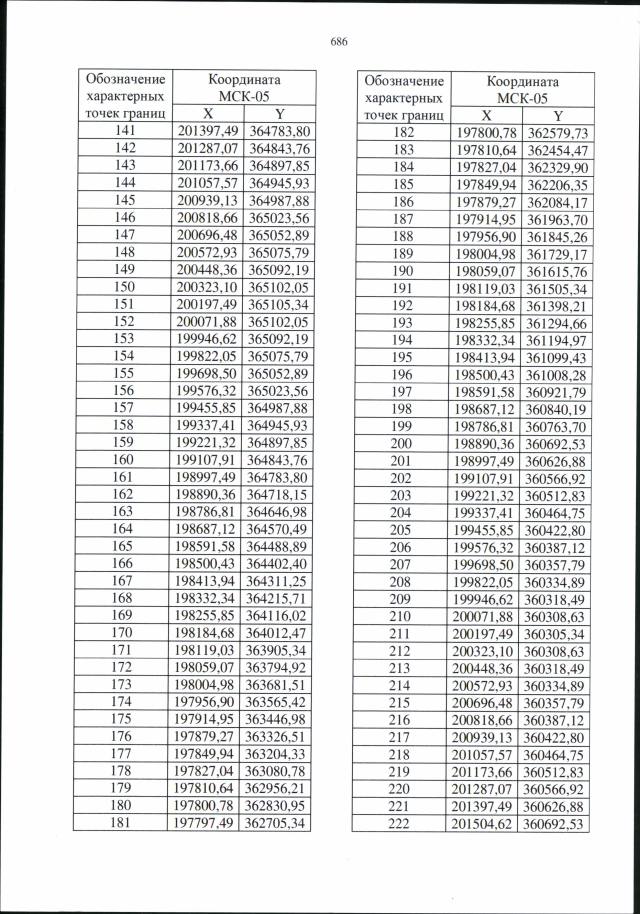
| Страница №686 из 725: | ||
|
|
||
| Страница №687 из 725: | ||
|
|
||
| Страница №688 из 725: | ||
|
|
||
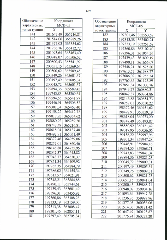
| Страница №689 из 725: | ||
|
|
||
| Страница №690 из 725: | ||
|
|
||
| Страница №691 из 725: | ||
|
|
||
| Страница №692 из 725: | ||
| Страница №693 из 725: | ||
| Страница №694 из 725: | ||
| Страница №695 из 725: | ||
| Страница №696 из 725: | ||
| Страница №697 из 725: | ||
|
|
||
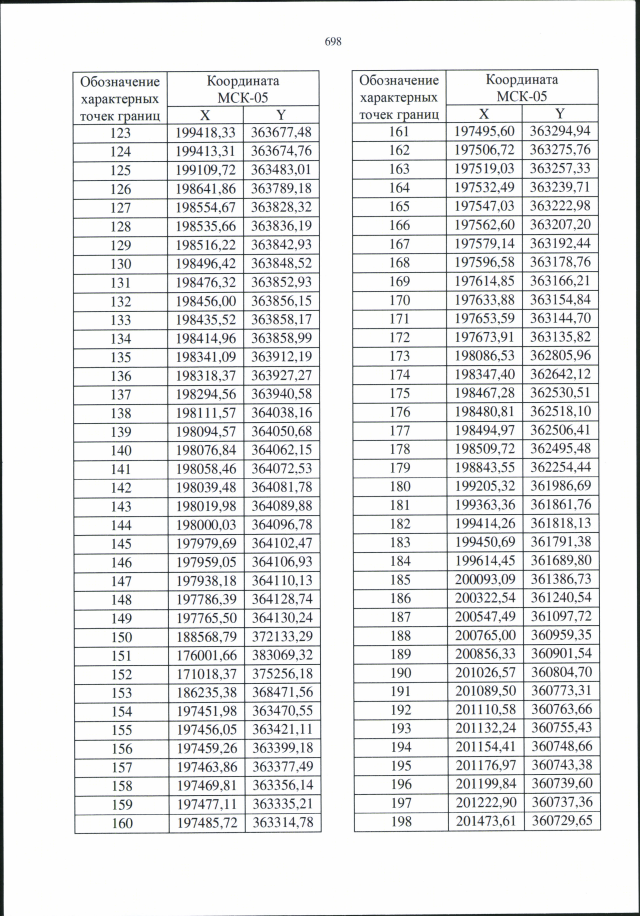
| Страница №698 из 725: | ||
|
|
||
| Страница №699 из 725: | ||
|
|
||
| Страница №700 из 725: | ||
|
|
||
| Страница №701 из 725: | ||
|
|
||
| Страница №702 из 725: | ||
| Страница №703 из 725: | ||
|
|
||
| Страница №704 из 725: | ||
|
|
||
| Страница №705 из 725: | ||
|
|
||
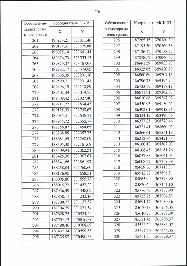
| Страница №706 из 725: | ||
|
|
||
| Страница №707 из 725: | ||
|
|
||
| Страница №708 из 725: | ||
|
|
||
| Страница №709 из 725: | ||
|
|
||
| Страница №710 из 725: | ||
|
|
||
| Страница №711 из 725: | ||
|
|
||
| Страница №712 из 725: | ||
|
|
||
| Страница №713 из 725: | ||
|
|
||
| Страница №714 из 725: | ||
|
|
||
| Страница №715 из 725: | ||
| Страница №716 из 725: | ||
|
|
||
| Страница №717 из 725: | ||
|
|
||
| Страница №718 из 725: | ||
|
|
||
| Страница №719 из 725: | ||
|
|
||
| Страница №720 из 725: | ||
|
|
||
| Страница №721 из 725: | ||
|
|
||
| Страница №722 из 725: | ||
|
|
||
| Страница №723 из 725: | ||
|
|
||
| Страница №724 из 725: | ||
|
|
||
| Страница №725 из 725: | ||
|
|
