Официальное опубликование правовых актов
ОФИЦИАЛЬНОЕ ОПУБЛИКОВАНИЕ
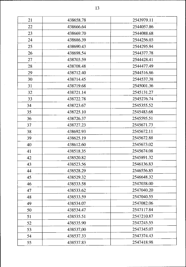
Приказ Федерального агентства воздушного транспорта от 27.03.2023 № 176-П
"Об установлении приаэродромной территории аэродрома гражданской авиации Тобольск (Ремезов)"
(Зарегистрирован 10.07.2023 № 74194)
Номер опубликования: 0001202307110009
Дата опубликования: 11.07.2023
Страница №14 из 175:
Увеличить