Официальное опубликование правовых актов
ОФИЦИАЛЬНОЕ ОПУБЛИКОВАНИЕ
Приказ Федерального агентства воздушного транспорта от 18.05.2023 № 320-П
"Об установлении приаэродромной территории аэродрома гражданской авиации Братск"
(Зарегистрирован 10.07.2023 № 74199)
Номер опубликования: 0001202307110008
Дата опубликования: 11.07.2023
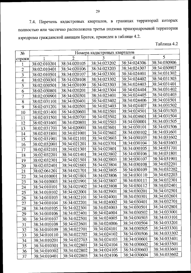
Страница №30 из 277:
Увеличить