Официальное опубликование правовых актов
ОФИЦИАЛЬНОЕ ОПУБЛИКОВАНИЕ
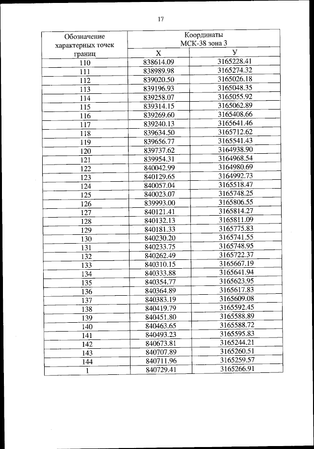
Приказ Федерального агентства воздушного транспорта от 18.05.2023 № 320-П
"Об установлении приаэродромной территории аэродрома гражданской авиации Братск"
(Зарегистрирован 10.07.2023 № 74199)
Номер опубликования: 0001202307110008
Дата опубликования: 11.07.2023
Страница №18 из 277:
Увеличить