Официальное опубликование правовых актов
ОФИЦИАЛЬНОЕ ОПУБЛИКОВАНИЕ
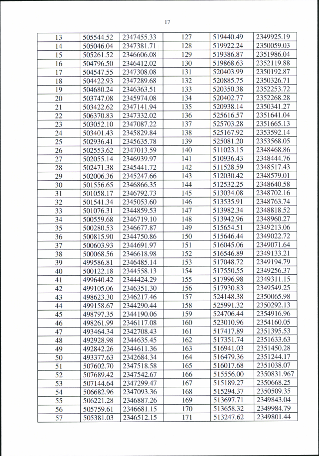
Приказ Федерального агентства воздушного транспорта от 24.05.2023 № 338-П
"Об установлении приаэродромной территории аэродрома гражданской авиации Магнитогорск"
(Зарегистрирован 10.07.2023 № 74192)
Номер опубликования: 0001202307110006
Дата опубликования: 11.07.2023
Страница №18 из 102:
Увеличить