Официальное опубликование правовых актов
ОФИЦИАЛЬНОЕ ОПУБЛИКОВАНИЕ
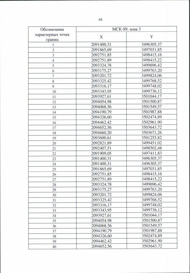
Приказ Федерального агентства воздушного транспорта от 18.05.2023 № 315-П
"Об установлении приаэродромной территории аэродрома гражданской авиации Сабетта"
(Зарегистрирован 10.07.2023 № 74190)
Номер опубликования: 0001202307110004
Дата опубликования: 11.07.2023
Страница №69 из 131:
Увеличить