Официальное опубликование правовых актов
ОФИЦИАЛЬНОЕ ОПУБЛИКОВАНИЕ
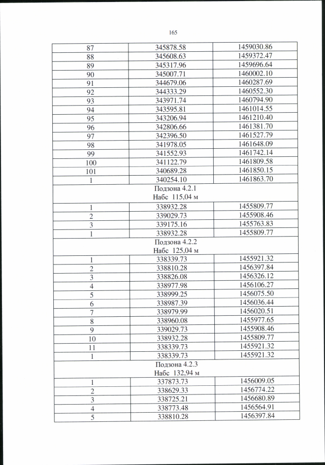
Приказ Федерального агентства воздушного транспорта от 18.05.2023 № 314-П
"Об установлении приаэродромной территории аэродрома гражданской авиации Тюмень (Рощино)"
(Зарегистрирован 10.07.2023 № 74185)
Номер опубликования: 0001202307110001
Дата опубликования: 11.07.2023
Страница №166 из 240:
Увеличить