Официальное опубликование правовых актов
ОФИЦИАЛЬНОЕ ОПУБЛИКОВАНИЕ
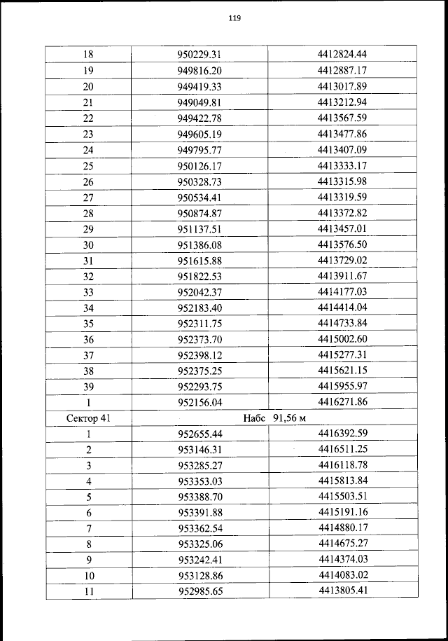
Приказ Федерального агентства воздушного транспорта от 23.05.2023 № 335-П
"Об установлении приаэродромной территории аэродрома гражданской авиации Нижневартовск"
(Зарегистрирован 30.06.2023 № 74116)
Номер опубликования: 0001202307030016
Дата опубликования: 03.07.2023
Страница №120 из 194:
Увеличить