Официальное опубликование правовых актов
ОФИЦИАЛЬНОЕ ОПУБЛИКОВАНИЕ
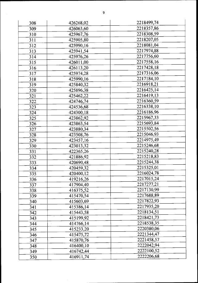
Приказ Министерства природных ресурсов и экологии Российской Федерации от 24.05.2023 № 325
"Об установлении границ охранной зоны государственного природного заповедника "Полистовский", а также об утверждении Положения о данной охранной зоне"
(Зарегистрирован 30.06.2023 № 74108)
Номер опубликования: 0001202307030007
Дата опубликования: 03.07.2023
Страница №10 из 31:
Увеличить