Официальное опубликование правовых актов
ОФИЦИАЛЬНОЕ ОПУБЛИКОВАНИЕ
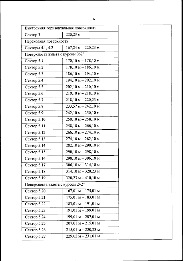
Приказ Федерального агентства воздушного транспорта от 21.03.2023 № 150-П
"Об установлении приаэродромной территории аэродрома гражданской авиации Мильково"
(Зарегистрирован 29.06.2023 № 74038)
Номер опубликования: 0001202306290007
Дата опубликования: 29.06.2023
Страница №61 из 67:
Увеличить