Официальное опубликование правовых актов
ОФИЦИАЛЬНОЕ ОПУБЛИКОВАНИЕ
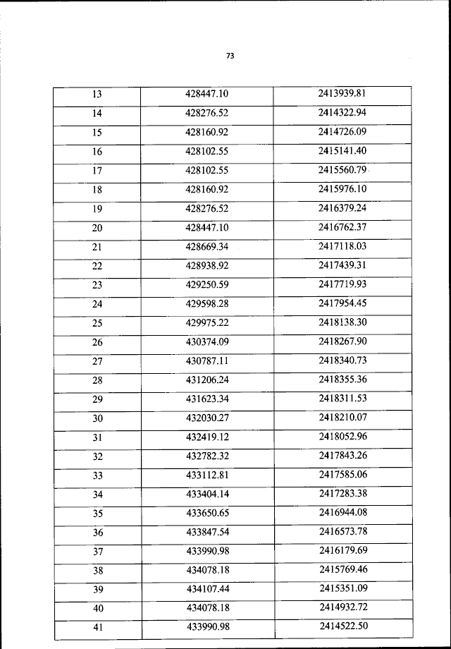
Приказ Федерального агентства воздушного транспорта от 21.03.2023 № 151-П
"Об установлении приаэродромной территории аэродрома гражданской авиации Магадан (Сокол)"
(Зарегистрирован 24.06.2023 № 73986)
Номер опубликования: 0001202306260019
Дата опубликования: 26.06.2023
Страница №74 из 99:
Увеличить