Приказ Министерства Российской Федерации по делам гражданской обороны, чрезвычайным ситуациям и ликвидации последствий стихийных бедствий от 19.05.2023 № 481
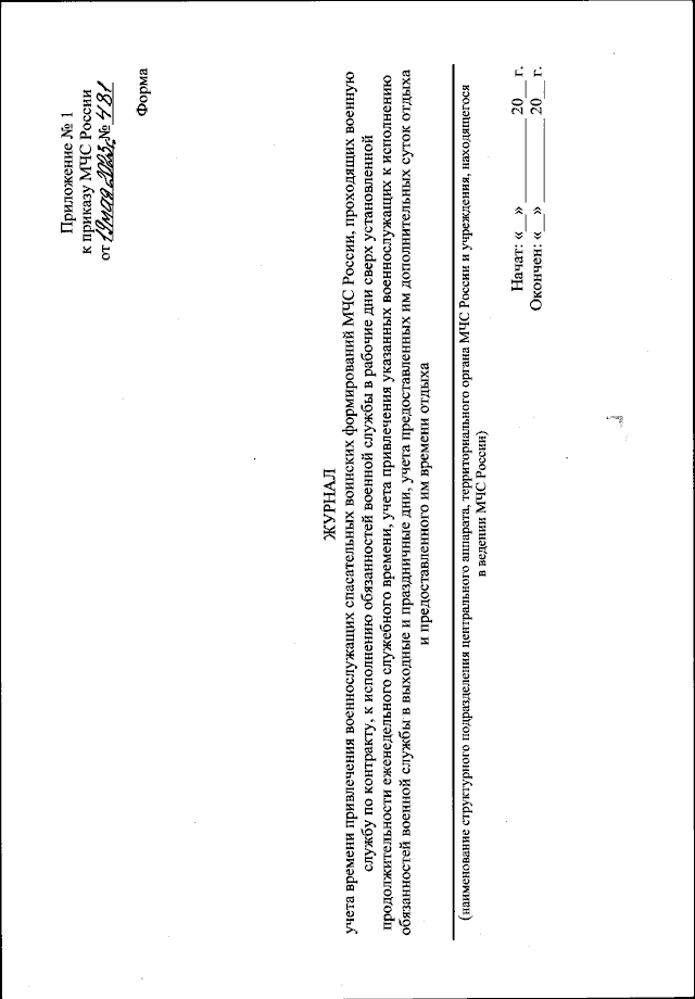
"Об утверждении формы и Порядка ведения журнала учета времени привлечения военнослужащих спасательных воинских формирований МЧС России, проходящих военную службу по контракту, к исполнению обязанностей военной службы в рабочие дни сверх установленной продолжительности еженедельного служебного времени, учета привлечения указанных военнослужащих к исполнению обязанностей военной службы в выходные и праздничные дни, учета предоставленных им дополнительных суток отдыха и предоставленного им времени отдыха"
(Зарегистрирован 20.06.2023 № 73927)
"Об утверждении формы и Порядка ведения журнала учета времени привлечения военнослужащих спасательных воинских формирований МЧС России, проходящих военную службу по контракту, к исполнению обязанностей военной службы в рабочие дни сверх установленной продолжительности еженедельного служебного времени, учета привлечения указанных военнослужащих к исполнению обязанностей военной службы в выходные и праздничные дни, учета предоставленных им дополнительных суток отдыха и предоставленного им времени отдыха"
(Зарегистрирован 20.06.2023 № 73927)
Номер опубликования: 0001202306210015
Дата опубликования:
21.06.2023
