Официальное опубликование правовых актов
ОФИЦИАЛЬНОЕ ОПУБЛИКОВАНИЕ
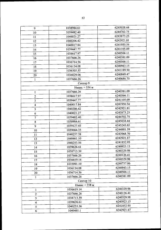
Приказ Федерального агентства воздушного транспорта от 18.05.2023 № 316-П
"Об установлении приаэродромной территории аэродрома гражданской авиации Таксимо"
(Зарегистрирован 19.06.2023 № 73898)
Номер опубликования: 0001202306190026
Дата опубликования: 19.06.2023
Страница №64 из 103:
Увеличить