Официальное опубликование правовых актов
ОФИЦИАЛЬНОЕ ОПУБЛИКОВАНИЕ
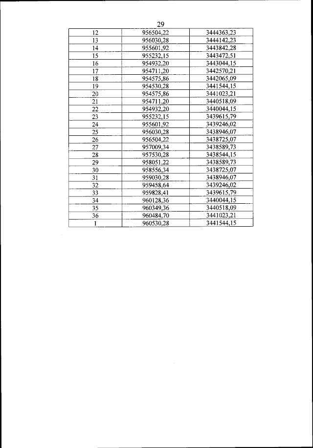
Приказ Федерального агентства воздушного транспорта от 27.03.2023 № 183-П
"Об установлении приаэродромной территории аэродрома гражданской авиации Херпучи"
(Зарегистрирован 19.06.2023 № 73888)
Номер опубликования: 0001202306190020
Дата опубликования: 19.06.2023
Страница №30 из 44:
Увеличить