Официальное опубликование правовых актов
ОФИЦИАЛЬНОЕ ОПУБЛИКОВАНИЕ
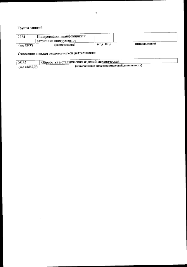
Приказ Министерства труда и социальной защиты Российской Федерации от 27.04.2023 № 380н
"Об утверждении профессионального стандарта "Доводчик-притирщик на доводочно—притирочных станках"
(Зарегистрирован 25.05.2023 № 73461)
Номер опубликования: 0001202305250028
Дата опубликования: 25.05.2023
Страница №3 из 46:
Увеличить