Официальное опубликование правовых актов
ОФИЦИАЛЬНОЕ ОПУБЛИКОВАНИЕ
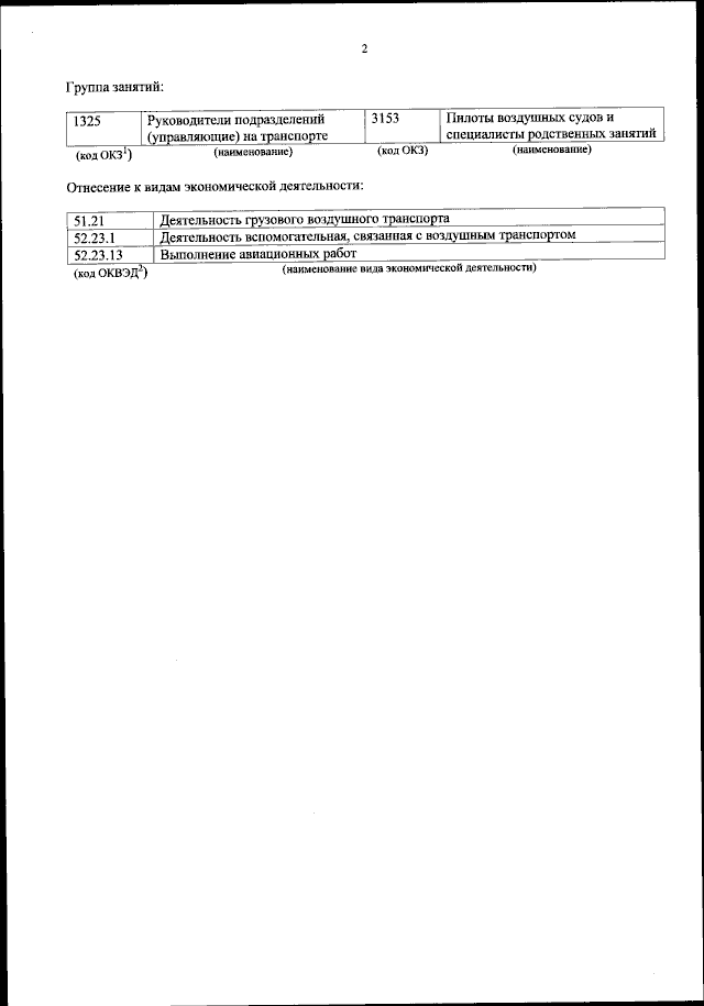
Приказ Министерства труда и социальной защиты Российской Федерации от 27.04.2023 № 358н
"Об утверждении профессионального стандарта "Специалист по летной эксплуатации беспилотных авиационных систем (внешний пилот) в составе с одним или несколькими беспилотными воздушными суднами максимальной взлетной массой более 30 кг"
(Зарегистрирован 25.05.2023 № 73439)
Номер опубликования: 0001202305250013
Дата опубликования: 25.05.2023
Страница №3 из 26:
Увеличить