Официальное опубликование правовых актов
ОФИЦИАЛЬНОЕ ОПУБЛИКОВАНИЕ
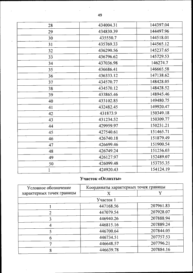
Приказ Министерства природных ресурсов и экологии Российской Федерации от 21.03.2023 № 138
"Об утверждении Положения о государственном природном биосферном заповеднике "Хакасский"
(Зарегистрирован 20.04.2023 № 73110)
Номер опубликования: 0001202304210008
Дата опубликования: 21.04.2023
Страница №58 из 67:
Увеличить