Официальное опубликование правовых актов
ОФИЦИАЛЬНОЕ ОПУБЛИКОВАНИЕ
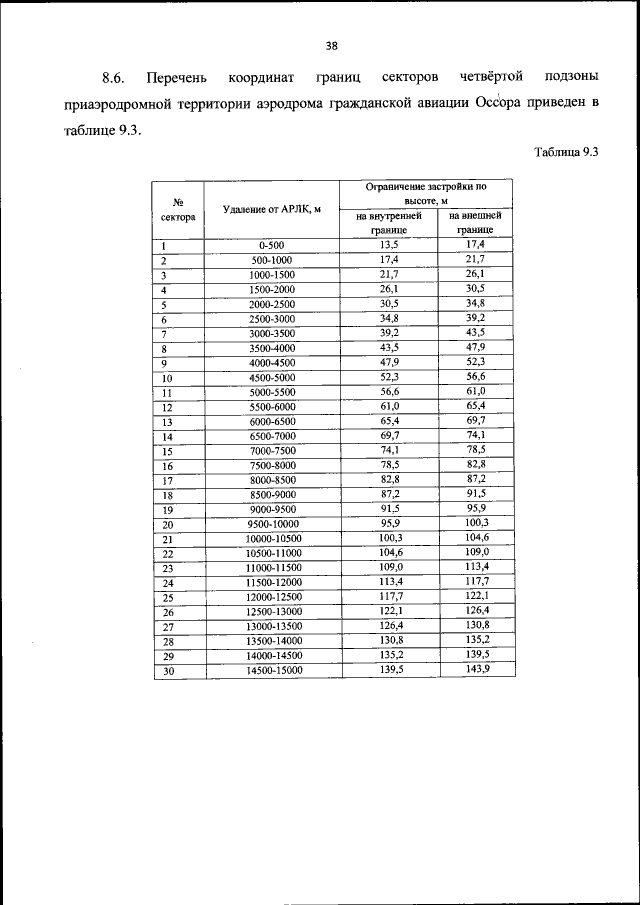
Приказ Федерального агентства воздушного транспорта от 21.02.2023 № 88-П
"Об установлении приаэродромной территории аэродрома гражданской авиации Оссора"
(Зарегистрирован 07.04.2023 № 72926)
Номер опубликования: 0001202304070008
Дата опубликования: 07.04.2023
Страница №39 из 55:
Увеличить